Предмет: Математика,
автор: SkGood1999
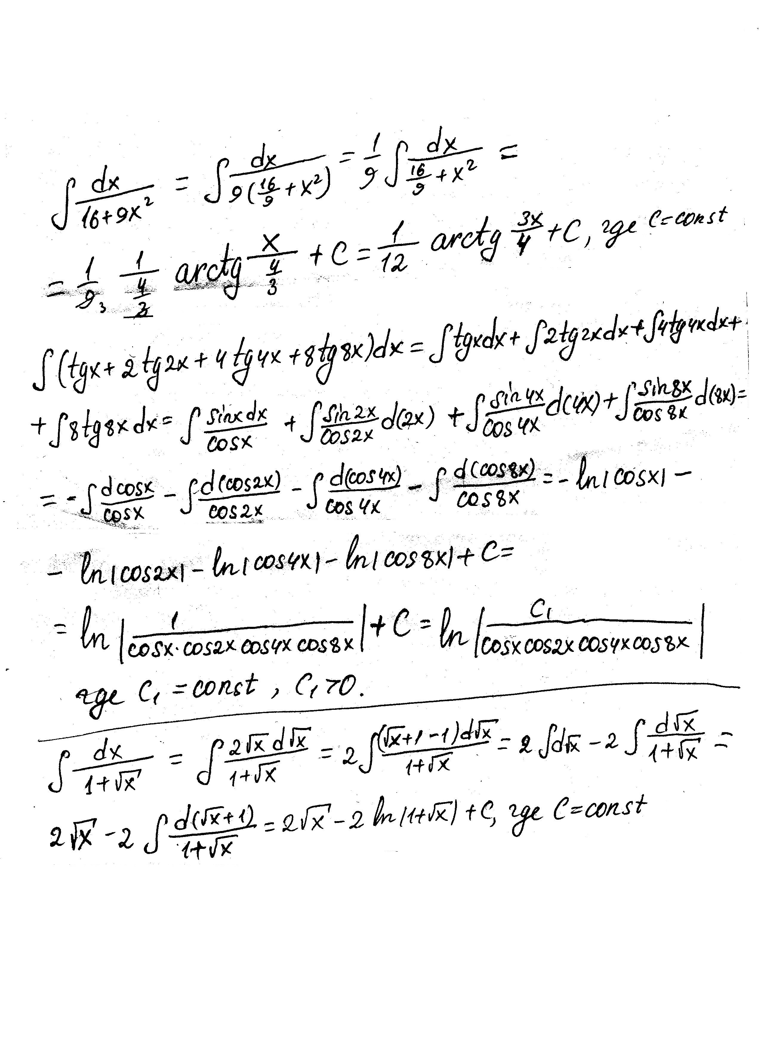
1)интеграл dx/1+в корне x
2)интеграл (tgx+2tg2x +4tg4x+8tg8x)dx
3)интеграл (tg^2)x*(sec^2)dx
Ответы
Автор ответа:
0
Решение в приложении.
Приложения:
Похожие вопросы
Предмет: Математика,
автор: romanvelichko2000
Предмет: Английский язык,
автор: inna4835
Предмет: Математика,
автор: misacliza130
Предмет: Математика,
автор: yuliashac