Предмет: Математика,
автор: alexandermiron2017
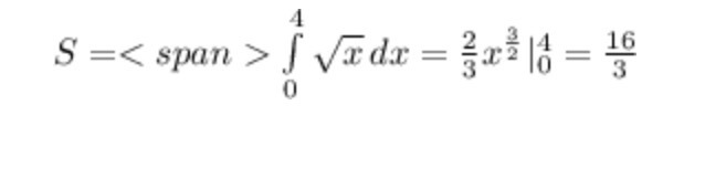
Вычислить площадь фигуры, ограниченной линиями у=0,х=1,у=корень из х.
срочно
Ответы
Автор ответа:
0
Крч, вот, ответ, было легко, учись
Приложения:
Похожие вопросы
Предмет: Алгебра,
автор: sophiunicorn123
Предмет: Математика,
автор: duartbg13
Предмет: Математика,
автор: ajgulalisheva2008
Предмет: Математика,
автор: milnikov
Предмет: Математика,
автор: asdfghjasdfghjk