Предмет: Алгебра,
автор: sisfulveo
ПОЖАЛУЙСТА, РЕШИТЕ НЕРАВЕНСТВО
Приложения:
Ответы
Автор ответа:
0
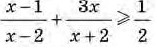
(x-1)/(x-2)+3x/(x+2)≥1/2
[(2x+4)(x-1)-3x*(2x-4)-(x²-4)]/[2(x-2)(x+2)]≥0
(2x²-2x+4x-4-6x²+12x-x²+4)/[2(x-2)(x+2)]≥0
(5x²-14x)/[2(x-2)(x+2)]≤0
x(5x-14)/[2(x-2)(x+2)]≤0
x=0 x=2,8 x=2 x=-2
+ _ + _ +
-----------(-2)------------[0]-------------(2)----------[2,8]--------------
x∈(-2;0] U (2;2,8]
[(2x+4)(x-1)-3x*(2x-4)-(x²-4)]/[2(x-2)(x+2)]≥0
(2x²-2x+4x-4-6x²+12x-x²+4)/[2(x-2)(x+2)]≥0
(5x²-14x)/[2(x-2)(x+2)]≤0
x(5x-14)/[2(x-2)(x+2)]≤0
x=0 x=2,8 x=2 x=-2
+ _ + _ +
-----------(-2)------------[0]-------------(2)----------[2,8]--------------
x∈(-2;0] U (2;2,8]
Похожие вопросы
Предмет: Другие предметы,
автор: lisenkaivan54
Предмет: Математика,
автор: gav78
Предмет: История,
автор: timur11080410
Предмет: Математика,
автор: gulevskayaangelina
Предмет: Математика,
автор: sankav80