Предмет: Математика,
автор: fiproQwerty
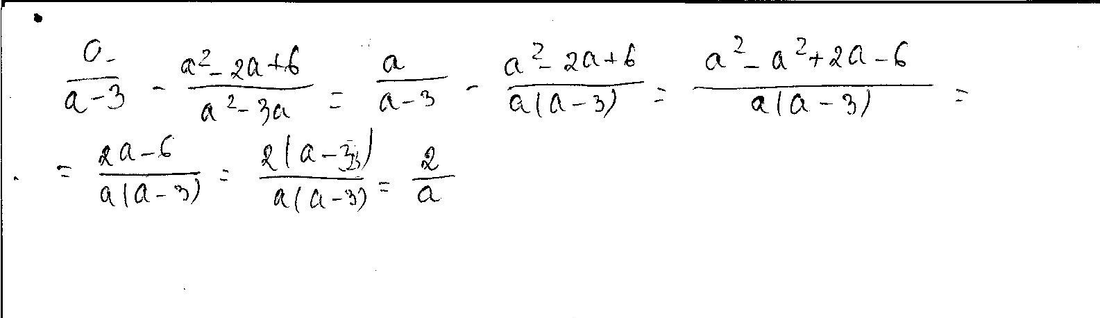
Помогите пожалуйста, буду благодарен
Приложения:
Ответы
Автор ответа:
0
:))))))))))))))))))))
Приложения:
Похожие вопросы
Предмет: Литература,
автор: 09vladrogalevich
Предмет: Алгебра,
автор: sabi0000
Предмет: Английский язык,
автор: nikto1616
Предмет: Математика,
автор: alenka20131
Предмет: Математика,
автор: ftjgvss