Предмет: Математика,
автор: 123Жасмин2016
Помогите сделать, с решением, пожалуйста
Приложения:
Ответы
Автор ответа:
0
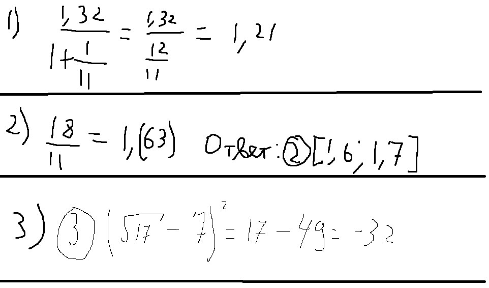
ответ на 3 номера на фото
Ответ на 4 номер так же на фото
Ответ на 4 номер так же на фото
Приложения:
Похожие вопросы
Предмет: История,
автор: Karina20055005
Предмет: Математика,
автор: sharabun2015
Предмет: Английский язык,
автор: adenis120608
Предмет: Математика,
автор: oliakurlanova