Предмет: Математика,
автор: nastya201696
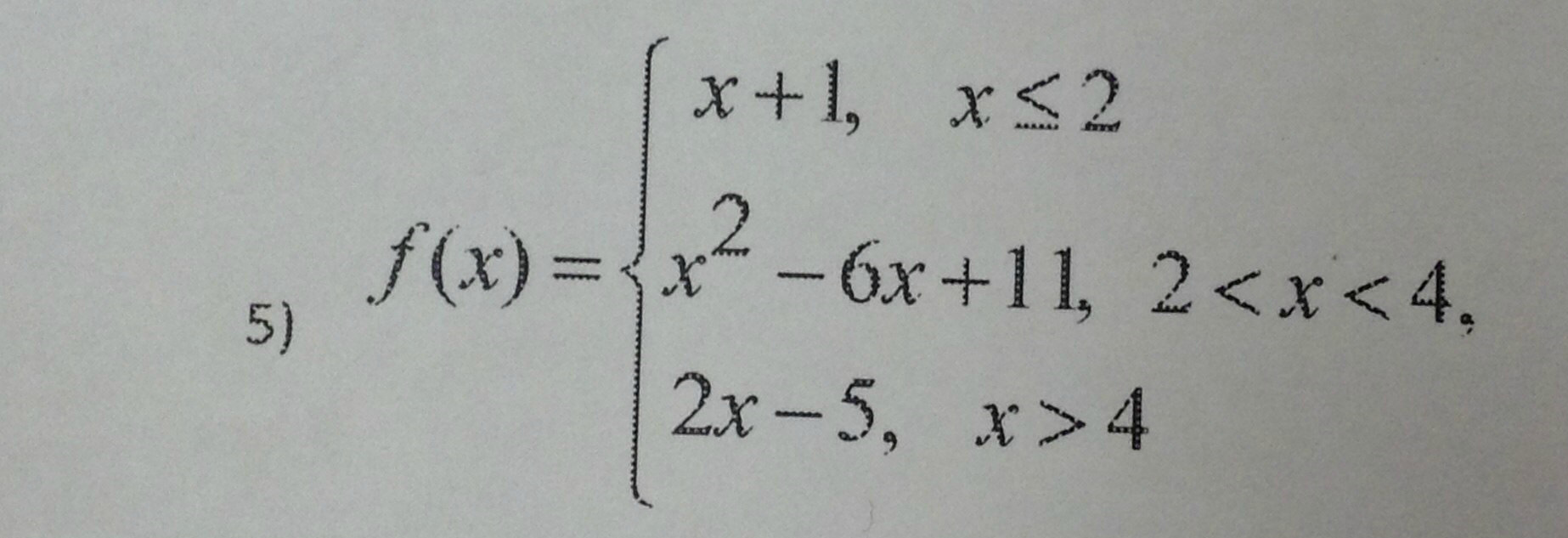
Исследовать функцию на непрерывность, построить ее график и установить характер точек разрыва. ДАЮ 35 БАЛЛОВ.РЕШИТЕ ПЛИЗ
Приложения:
Ответы
Автор ответа:
0
1-x при x<0
y= x2+1 при 0<=x<=2 (меньше или равно, больше или равно)
Ln(x-1) при x>2
y= x2+1 при 0<=x<=2 (меньше или равно, больше или равно)
Ln(x-1) при x>2
Похожие вопросы
Предмет: Математика,
автор: alanaikayeva97
Предмет: Математика,
автор: samatzhanasel
Предмет: История,
автор: makshake
Предмет: Математика,
автор: andrusenko79
Предмет: История,
автор: Raysi