Предмет: Алгебра, автор: between69

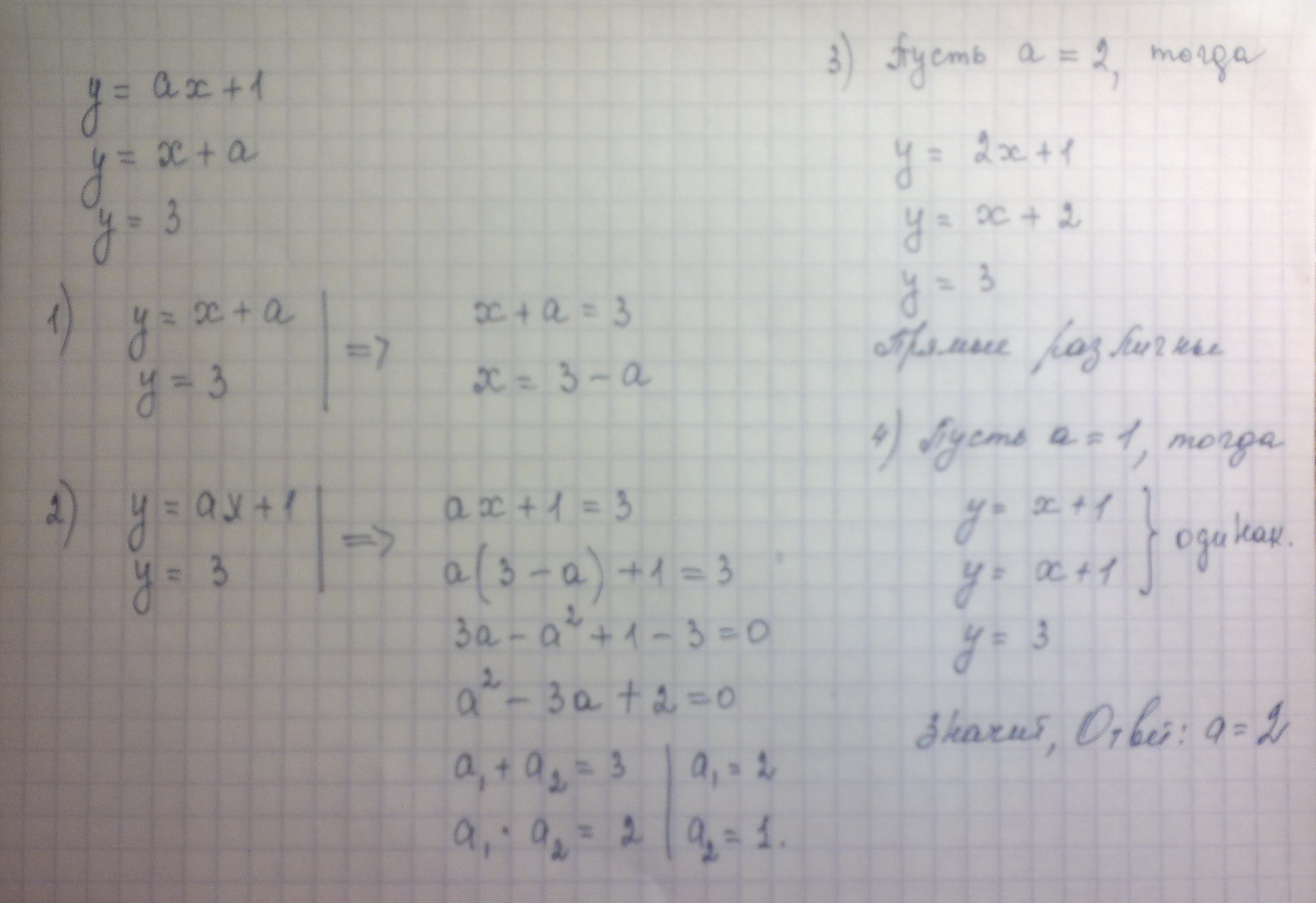
Число а таково,что прямые у=ах+1, у=х+а и у=з различны и пересекаются в одной точке. Каким может быть а?

Ответы

Автор ответа: ytekjdbvsq
0
Пишите, если что не так.
Приложения:
Похожие вопросы
Предмет: Английский язык, автор: gordeevaksusa844
16 Listening
Mr. Brown was a very rich and mean man. When he died he had 10 million pounds in the bank. He
had only two relatives, his sons Joseph and Oliver who pretended to get this money. They were
twins. They were so alike that nobody could tell who was who. Joseph and Oliver left home when
they were 20 years old. When the two brothers heard about their father's death, they went to his
house right away. Their father's lawyer Miss Smith met them. She said: "Come into the library,
must read you your father's will. Your father made a very short will. It is in three parts. Part one says:
I leave all my money to my son Oliver." The lawyer turned to the twin brothers and asked, "So which
one of you is Oliver?" Both of the sons said: "I am. I'm Oliver!"
Miss Smith was angry; "One of you must be a liar". Then she began reading the second part of the
will. It said: "If there is any argument about which son is real Oliver, then I leave all my money to
Joseph!" Once again the lawyer asked: "Which one is Joseph?" "I am!" cried the two sons with one
voice. The lawyer was very angry. She cried; "But a minute ago you both were Olivert"You are liars!"
Then she began reading the third part of the will. It said, "If both my sons turn out to be liars then I
leave all my money to Miss Smith, my faithful lawyer."
So the twins left the house without a penny. The clever will had shown that both of them were liars.
But it was Miss Smith, who tricked them, because Mr. Brown had never made a will!
1. Choose the correct answer to the question.
1. How much money did Mr. Brown have?
1.
Ten million dollars.
2.
Ten million rubles
3
Ten million pounds
4.
Ten thousand pounds.
1. Who was very rich and mean?
1.
Oliver
2.
Joseph
3.
Mr. Brown
4.
Miss Smith
1. Where did Miss Smith read the will?
?
1.
In the kitchen.
2.
In the living room
3
In the cafe.
4.
In the library​
Предмет: Математика, автор: lysiakarapetya