Предмет: Алгебра,
автор: MartinKs
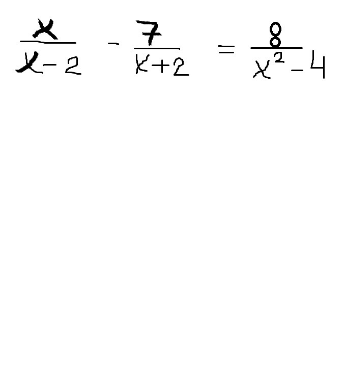
Помогите пожалуйста , с уравнением :3
Приложения:
Ответы
Автор ответа:
0
Ответ : х1 = 3 ; х2 = 2.
Приложения:
Автор ответа:
0
Спасибо большое )
Автор ответа:
0
Пожалуйста ;)
Похожие вопросы
Предмет: Математика,
автор: 89995827107g
Предмет: Математика,
автор: narutouzumake79
Предмет: Информатика,
автор: nazarovaanelya240220
Предмет: Химия,
автор: Yulik0
Предмет: Математика,
автор: misakimei1