Предмет: Алгебра,
автор: svetik83
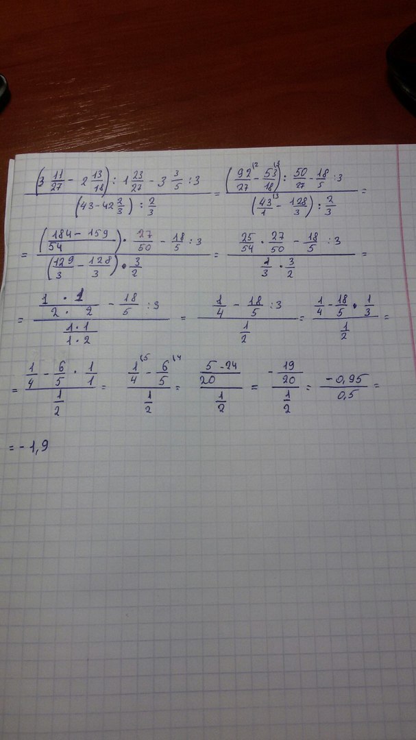
Как решить я забыла
Приложения:
Ответы
Автор ответа:
0
Должно быть правильно.
Приложения:
Похожие вопросы
Предмет: Русский язык,
автор: 1DeLuK1dccc
Предмет: Литература,
автор: DaffNick
Предмет: Математика,
автор: alise0640
Предмет: Литература,
автор: Алёна4567890
Предмет: Биология,
автор: school1423