Предмет: Алгебра,
автор: shockwave2
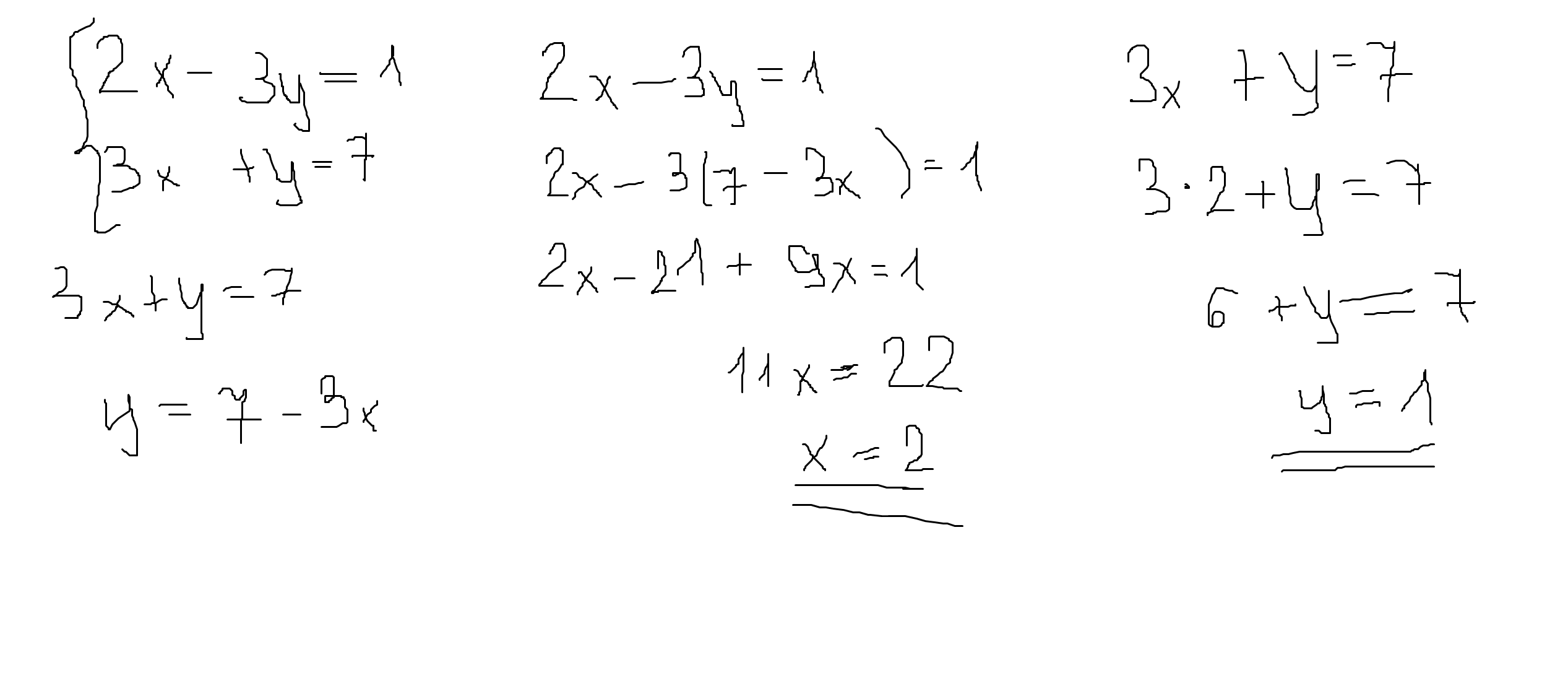
решить систему уравнений {2x-3y=1 {3x+y=7
Ответы
Автор ответа:
39
Другой способ........
Приложения:
Похожие вопросы
Предмет: Қазақ тiлi,
автор: Batya999
Предмет: Русский язык,
автор: Help167272708015555
Предмет: Другие предметы,
автор: damir180
Предмет: Русский язык,
автор: лирикон
Предмет: Химия,
автор: gnk2005