Предмет: Алгебра,
автор: Tw1nkyS
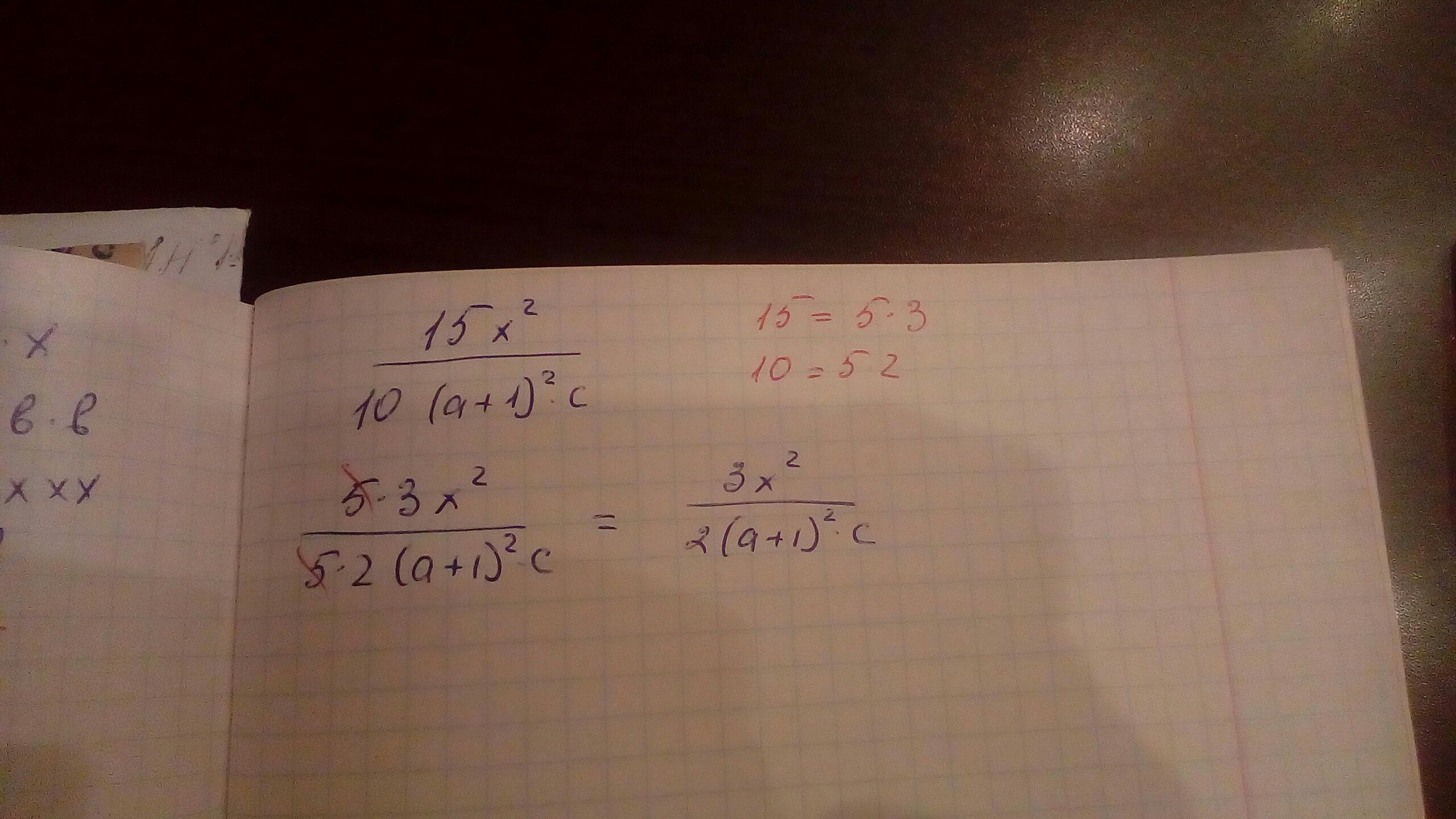
Помогите, нужно сократить дробь с картинки :
Приложения:
Ответы
Автор ответа:
0
!!!!!!!!!!!!!!!!!!!!!!!!!!!!
Приложения:
Похожие вопросы
Предмет: Русский язык,
автор: bimasheva
Предмет: Русский язык,
автор: Rim2010
Предмет: Математика,
автор: vaneskabalenko
Предмет: Математика,
автор: iwan111111
Предмет: Информатика,
автор: konfetka2905