Предмет: Алгебра,
автор: Аноним
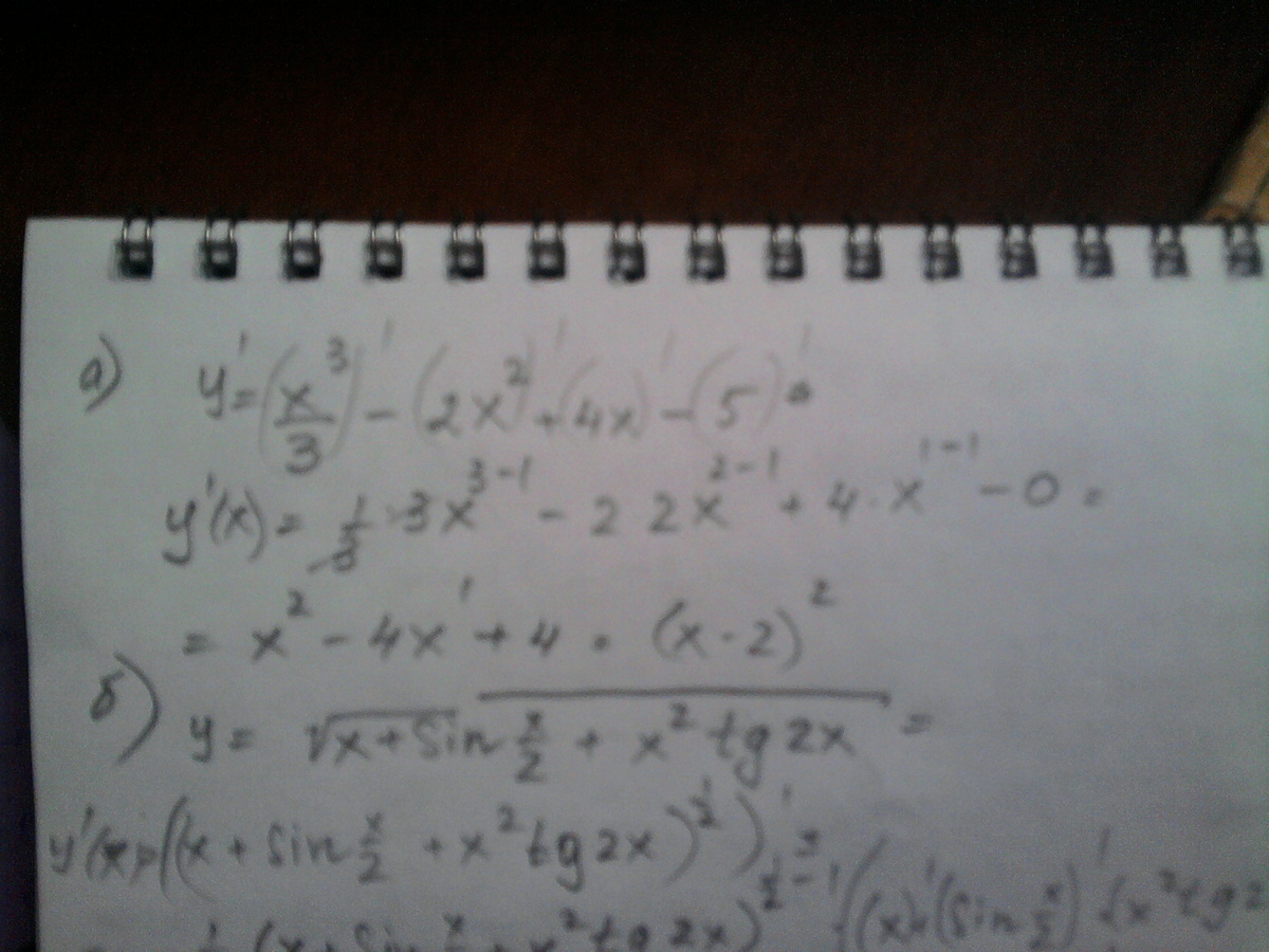
Пользуясь правилами и формулами дифференцирования, найдите произвол ную функции:
а) y=x^3/3 - 2x^2 + 4x - 5
б) y= корень x +sin x/2 + x^2 tg2x
в) y= 1-cosx / 1+sin x
ПОДРОБНО, ПОЖАЛУЙСТА!
Ответы
Автор ответа:
49
Разбирайтесь...кажется достаточно подробно рассписала, хотя в ответах можно кое где еще поработать, но это уже сами)
Приложения:
Похожие вопросы
Предмет: Русский язык,
автор: AnnaDmitrieva8591
Предмет: Русский язык,
автор: alex00002
Предмет: Русский язык,
автор: Ckhool
Предмет: Қазақ тiлi,
автор: qweasdzxc1485
Предмет: Русский язык,
автор: Аноним