Предмет: Алгебра,
автор: htgjgjfgvdhgf
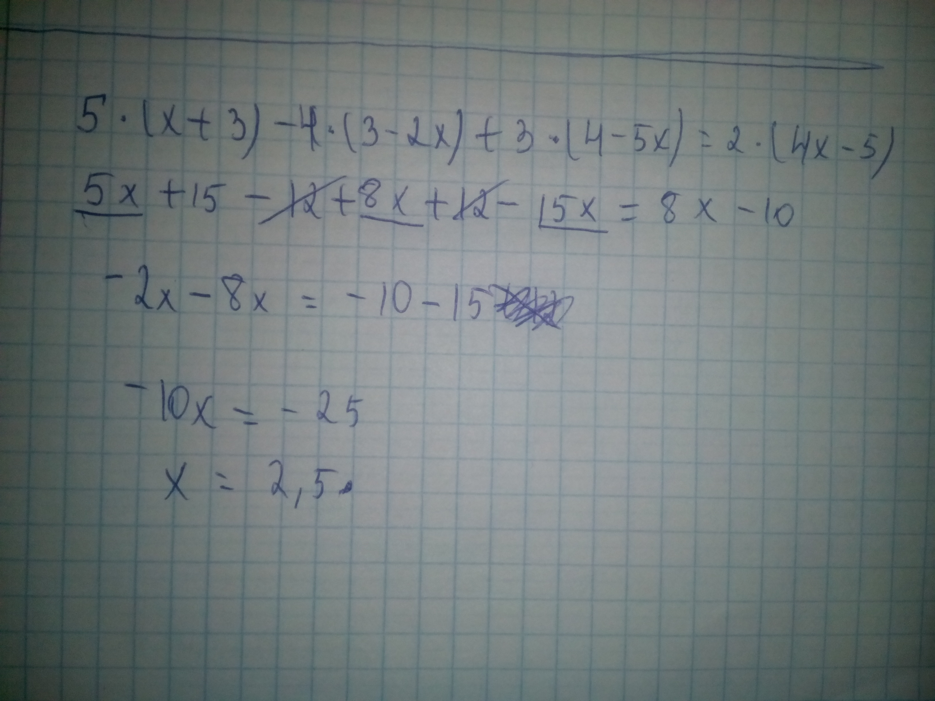
5(х+3)-4(3-2х)+3(4-5х)=2(4х-5)
Ответы
Автор ответа:
0
5х+15-12+8х+12-15х=8х-10
5х+8х-15х-8х=-10-15+12-12
-10х=-25
х=-5 :(-25)
х=2,5
5х+8х-15х-8х=-10-15+12-12
-10х=-25
х=-5 :(-25)
х=2,5
Автор ответа:
0
Вот, держи
это очень легко
это очень легко
Приложения:
Похожие вопросы
Предмет: Алгебра,
автор: Аноним
Предмет: Математика,
автор: katiaburtak
Предмет: Биология,
автор: logvynenkosas
Предмет: Математика,
автор: altergot2
Предмет: География,
автор: Инна15062003