Предмет: Математика,
автор: тПафос
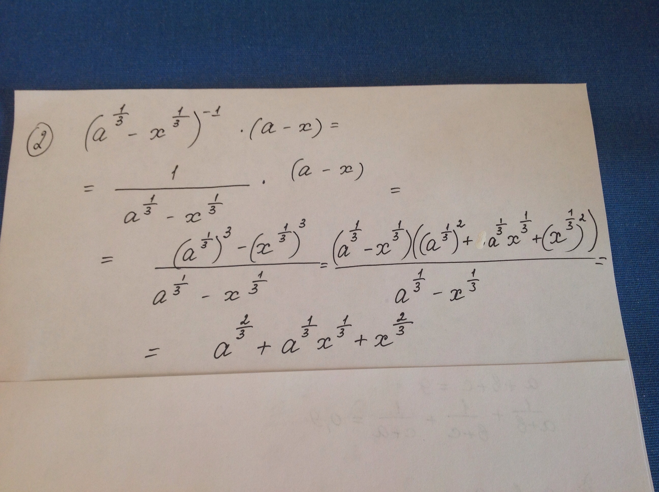
Помогите решит пожалуйста!33 балла. Желательно фотографию с подробным решениями.
Приложения:
Ответы
Автор ответа:
0
Решение смотри в приложении
Приложения:
Автор ответа:
0
Вот у меня получилось точно также ,но с ответом не сходится , может быть опетчатка?
Похожие вопросы
Предмет: География,
автор: abrora616
Предмет: Физика,
автор: maksimgames2007
Предмет: Математика,
автор: altinayzhumkeeva
Предмет: Информатика,
автор: yanamedvedeva5
Предмет: Математика,
автор: ritachernova