Предмет: Алгебра,
автор: sleki20021
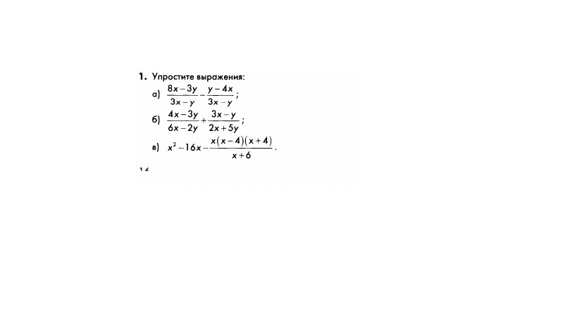
Решите пожалуйста ! Упрощение выражений .
Приложения:
Ответы
Автор ответа:
0
a)( 8x-3y/ 3x-y )-(y-4x/3x-y) = запишем одной дробью, т.к. знаменатели одинаковые.
Получаем : (8x-3y-y+4x)/3x-y
(12x-4y)/3x-y
Выносим за скобки: 4(3x-y)/(3x-y)=сокращаем 3x-y, получаем ответ 4
Ответ:4
Получаем : (8x-3y-y+4x)/3x-y
(12x-4y)/3x-y
Выносим за скобки: 4(3x-y)/(3x-y)=сокращаем 3x-y, получаем ответ 4
Ответ:4
Похожие вопросы
Предмет: Математика,
автор: hohlovakira08
Предмет: Биология,
автор: Аноним
Предмет: Математика,
автор: kamshatmuqamedpai
Предмет: Математика,
автор: Аноним
Предмет: Химия,
автор: marshalltemirov