Предмет: Математика,
автор: Аноним
Решите и подробно объясните
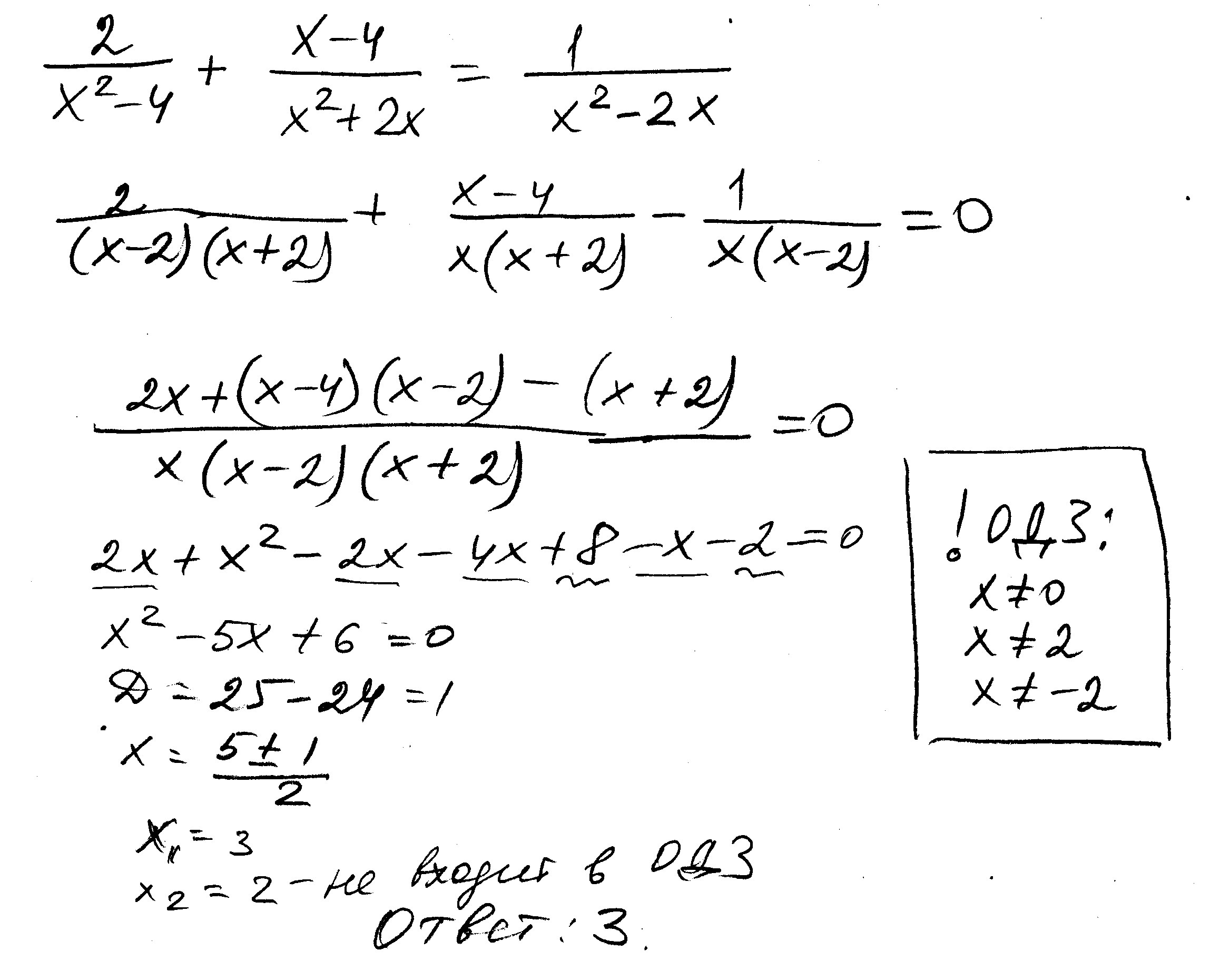
2/x^2-4 + x-4/x^2+2x = 1/x^2-2x
Спасибо!
Ответы
Автор ответа:
0
решение во вложенном файле
Приложения:
Автор ответа:
0
Спасибо
Похожие вопросы
Предмет: Математика,
автор: kamshatmuqamedpai
Предмет: Алгебра,
автор: milkals007
Предмет: Математика,
автор: 2018dimabondarenko20
Предмет: Математика,
автор: 0Vasilina0