Предмет: Алгебра,
автор: Dino22
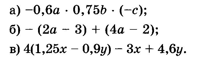
Упростите выражения-----------------------------------------------------------------00000000000000
Приложения:
Ответы
Автор ответа:
0
А) -0.6а*0.75b*(-с)=0.45аbс
Б) -(2а-3)+(4а-2)=-2а+3+4а-2=2а+1
В) 4(1.25х -0.9у)-3х+4.6у=5х-3.6у-3+4.6у=2х+1
Похожие вопросы
Предмет: Немецкий язык,
автор: cuznevsergei
Предмет: Русский язык,
автор: zhania006
Предмет: Қазақ тiлi,
автор: Котик3881
Предмет: Математика,
автор: alinur72
Предмет: Информатика,
автор: 128500