Предмет: Математика,
автор: Аноним
Решите пример
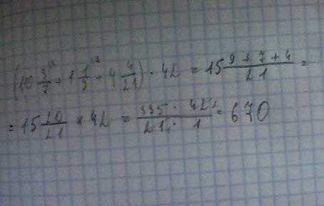
(10целых3/7+1целая1/3+4целых4/21)*42
Ответы
Автор ответа:
0
=(15 цел 20/21) *42= 670
Приложения:
Автор ответа:
0
в пятом
Автор ответа:
0
а поняла
Автор ответа:
0
всё пока
Автор ответа:
0
и спасибо
Автор ответа:
0
нез)))
Похожие вопросы
Предмет: Литература,
автор: ana350
Предмет: Геометрия,
автор: gutsiloskiepko
Предмет: Русский язык,
автор: murtazinovkamil
Предмет: Математика,
автор: Alinochka408770