Предмет: Математика,
автор: ВВалера
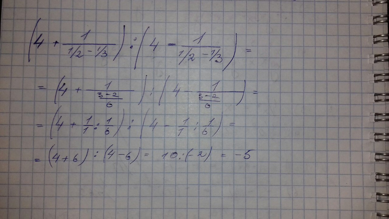
найти значение выражения
Приложения:
Ответы
Автор ответа:
0
Да.... вовремя...
Сорь :(
Сорь :(
Приложения:
Похожие вопросы
Предмет: Алгебра,
автор: Аноним
Предмет: Математика,
автор: angelina181134
Предмет: Математика,
автор: MacQueen
Предмет: Литература,
автор: Аноним
Предмет: Математика,
автор: nikanovapola