Предмет: Алгебра,
автор: Nikomyra
решите уравнения:
-9a+8=-10a-2
7m+1=8m+9
4+25y=6+24y
3*(4x-8)=3x-6
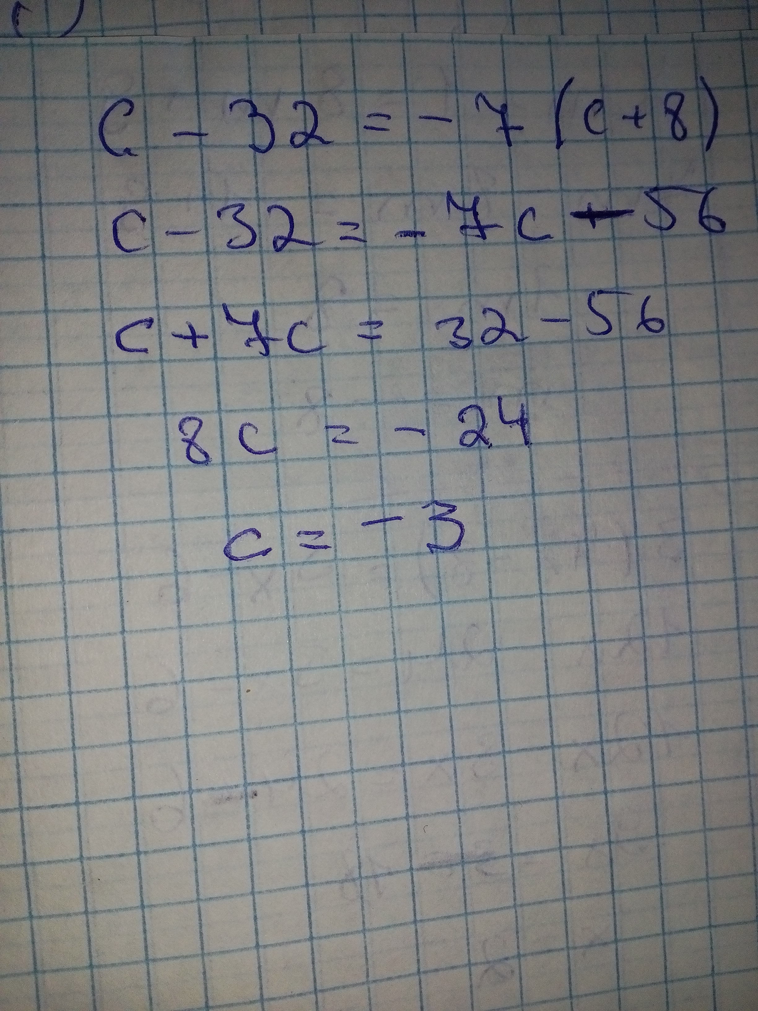
c-32=-7*(c+8)
Ответы
Автор ответа:
0
Первые три уравнения решаются просто. Нужно перенести числа с неизвестрым в одну сторону с противоположным знаком . В третьем и четвертом уравнениях нужно сначала раскрыть скобки,а потом делать как в первых трёх
Приложения:
Похожие вопросы
Предмет: Химия,
автор: yzir25fsc
Предмет: Математика,
автор: polinanice21
Предмет: Английский язык,
автор: anelbaan
Предмет: Математика,
автор: lera280704
Предмет: Геометрия,
автор: Sano102000