Предмет: Алгебра,
автор: Аноним5010
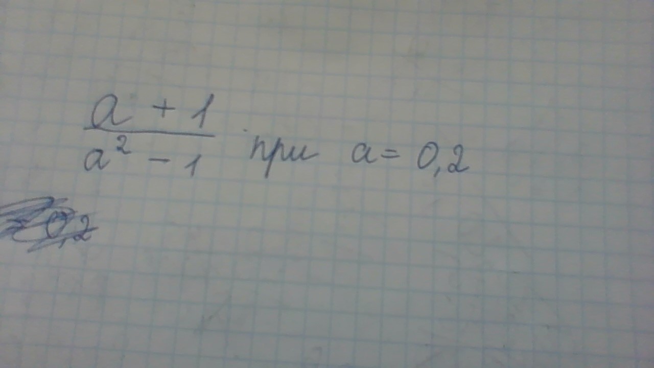
Найдите значение выражения a+1 : a²- 1 , если а = 0,2 . Если не понятно вот фото выражения!
Приложения:
Ответы
Автор ответа:
0
Нужно знать формулу разности квадратов.
Приложения:
Автор ответа:
0
я тут у тебя нечего не поняла. Что-то всё перечёркнуто!
Автор ответа:
0
Хотя нет,извините. Спасибо за ответ!!!
Похожие вопросы
Предмет: Английский язык,
автор: galinaslaston2
Предмет: Математика,
автор: Аноним
Предмет: Математика,
автор: safianazir009
Предмет: Математика,
автор: agievalilia
Предмет: Математика,
автор: никемн