Предмет: Алгебра,
автор: MBAND4
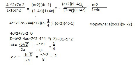
Сократите дробь:4с(квадрат)+7с-2.черта.1-16с(квадрат)
Ответы
Автор ответа:
0
^ - обозначение степени
Приложения:
Похожие вопросы
Предмет: Русский язык,
автор: sagitova1680
Предмет: Українська мова,
автор: Аноним
Предмет: Математика,
автор: Aishaexeshka
Предмет: География,
автор: katka3007
Предмет: Математика,
автор: Certainly