Предмет: Алгебра, автор: pivenandrey

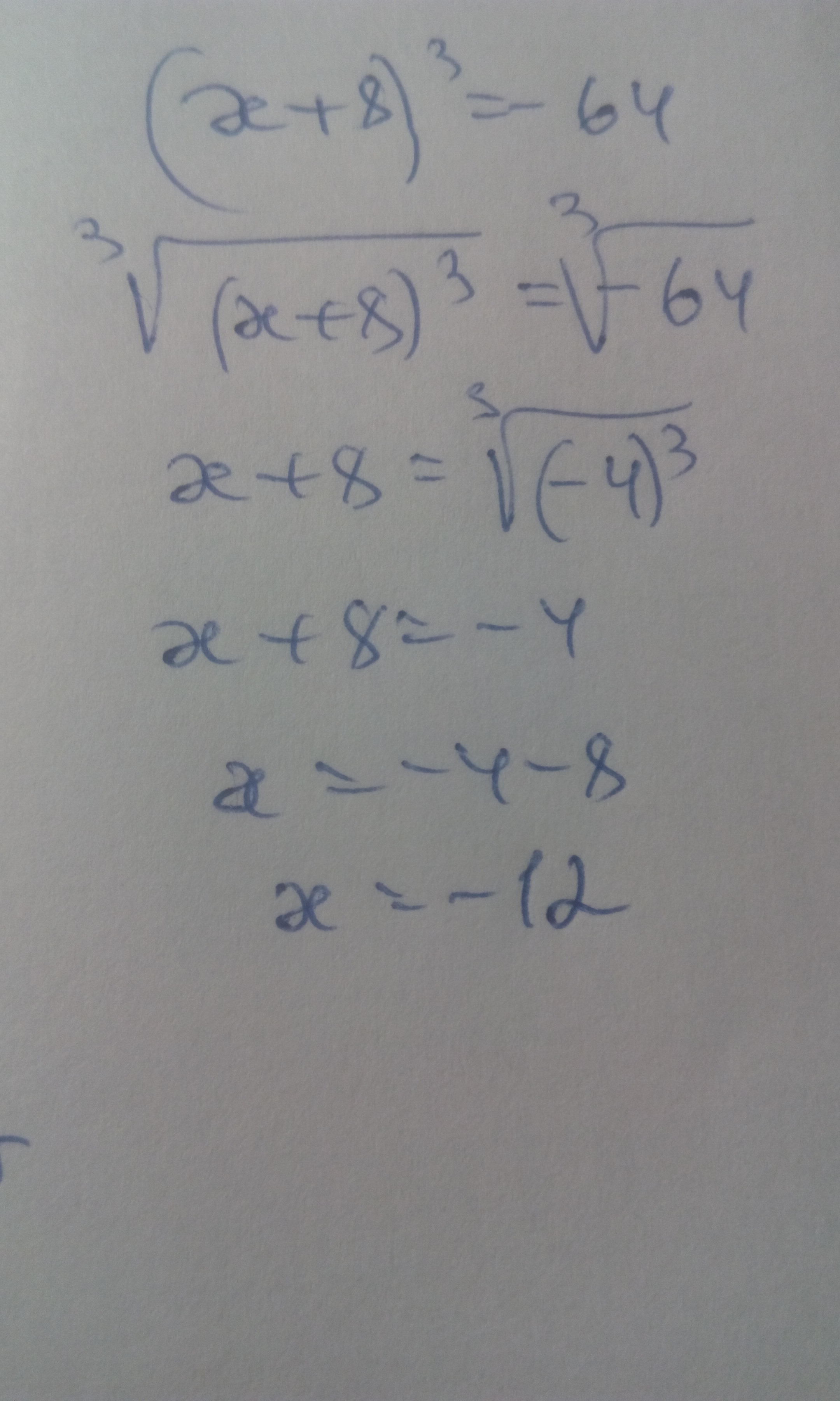
Найти корень уравнения: (x+8)^3 = -64
Решите с подробностями )

Ответы

Автор ответа: irinan2014
0
Всё подробно написала в решении.
Приложения:
Автор ответа: kazimierz2015
0
(x+8)^3 =-64\
x+8= sqrt[3]{-64}=-4\
x=-4-8=-12\
underline{x=-12 }\
L=(-12+8)^3=(-4)^3=-64\
P=-64\
L=P\
Приложения:
Похожие вопросы
Предмет: Математика, автор: HannaNasaeva