Предмет: Алгебра,
автор: dalsin
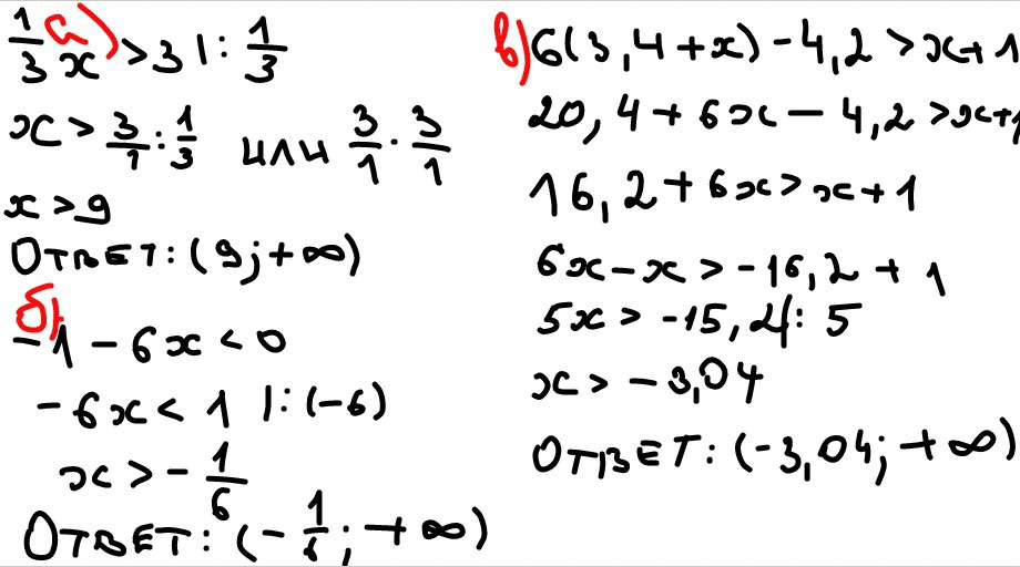
Решить неравенство
А)1/3х больше 3
Б)1-6х не большего 0
В)6(3,4+х)-4,2больше х+1
Ответы
Автор ответа:
0
Надеюсь все понятно.Если нет,спрашивай.
Приложения:
Похожие вопросы
Предмет: История,
автор: markzigura
Предмет: Українська література,
автор: veronikalu0
Предмет: ОБЖ,
автор: mashatieriekhova
Предмет: Математика,
автор: innarochka