Предмет: Математика, автор: Наташа835904

ОБЪЯСНИТЕ КАК РЕШАТЬ, ПОЖАЛУЙСТА!!!! Во вложениях

Приложения:

Ответы

Автор ответа: Аноним
0
= √5(√2 - 1) * 2√5/(√2 - 1) = 10
Автор ответа: Аноним
0
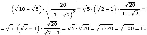
 left(sqrt{10}-sqrt{5}right) cdot sqrt{frac{20}{{left( 1 - sqrt{2}right)}^2}}=
 = sqrt{5} cdot left( sqrt{2}- 1 right) cdot frac{sqrt{20}}{| 1 - sqrt{2} |}  =
 = sqrt{5} cdot left( sqrt{2} - 1 right) cdot frac{sqrt{20}}{ sqrt{2} - 1} = 
 = sqrt{5} cdot sqrt{20} = sqrt{ 5 cdot 20} = sqrt{100} = 10
Приложения:
Похожие вопросы
Предмет: МХК, автор: nikolaenkomila5