Предмет: Математика,
автор: Кирилл65564234
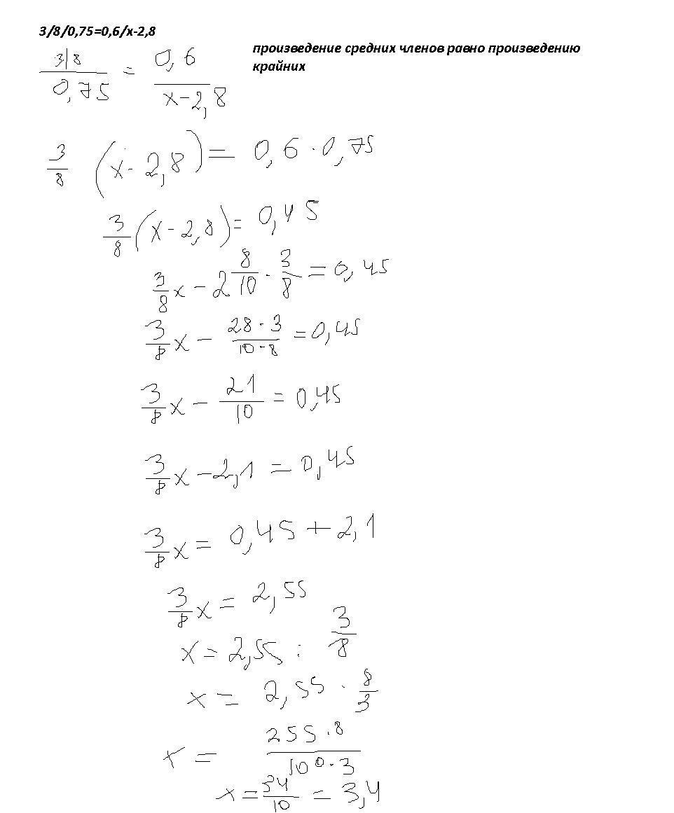
Найдите x в пропорциях 3/8/0,75=0,6/x-2,8
Ответы
Автор ответа:
0
ответ в приложенном файле
Приложения:
Похожие вопросы
Предмет: Геометрия,
автор: XBOXAH4uy
Предмет: Английский язык,
автор: tatibaevasaule2
Предмет: Алгебра,
автор: Аноним
Предмет: Литература,
автор: vitaminka20001
Предмет: Литература,
автор: karappi02