Предмет: Алгебра,
автор: Дмитрий444111
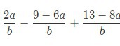
Помогите,упростить выражения
Приложения:
Ответы
Автор ответа:
0
знаменатель 5р и под общую дробь переписуй верх
Автор ответа:
0
3p-4q-2p-6q+p-4q
Автор ответа:
0
3p, 2p, p сокращаются
Автор ответа:
0
-4q-6q-4q= -14q
Автор ответа:
0
по идее так
Автор ответа:
0
Окончательный ответ дай.
Похожие вопросы
Предмет: Русский язык,
автор: mat7280
Предмет: Биология,
автор: linnikelena87
Предмет: Английский язык,
автор: Аноним
Предмет: История,
автор: lelik3012