Предмет: Алгебра,
автор: Ученица20
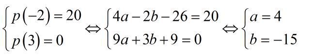
Многочлен Р(х)=х^3+ax^2+bx-18 при делении на (х+2) дает в остатке 20, а на (х-3) делится без остатка. Определите коэффициенты а и b
Ответы
Автор ответа:
0
решение находится в файле
Приложения:
Похожие вопросы
Предмет: Геометрия,
автор: bravlstars1309
Предмет: Химия,
автор: misenkomaha7
Предмет: Окружающий мир,
автор: Аноним
Предмет: Алгебра,
автор: виктория2593
Предмет: Литература,
автор: elen333423