Предмет: Алгебра,
автор: sulim9
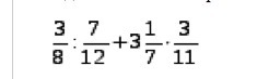
Найдите значение выражения на картинке
Приложения:
Ответы
Автор ответа:
0
решение смотри на фотографии
Приложения:
Похожие вопросы
Предмет: Математика,
автор: mojseenkovlad
Предмет: История,
автор: liranajnagmailcom
Предмет: Физкультура и спорт,
автор: anastasiaserbina2007
Предмет: Математика,
автор: ilson2511