Предмет: Физика,
автор: Veronicaa765
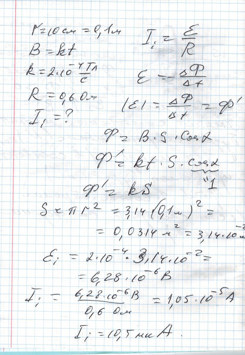
Проволочное кольцо находится в однородном магнитном поле, индукция которого изменяется по закону B=kt, где k=2*10^-4 Тл/с. Определите силу тока,возникающего в витке. Радиус витка 10см, сопротивление 2 О. Плоскость витка перпендикулярна линиям магнитной индукции.
Ответы
Автор ответа:
0
Смотри файлик↓↓↓↓↓
Вот всё же
Вот всё же
Приложения:
Автор ответа:
0
Отметь пожалуйста как лучший мне нужен новый статус
Автор ответа:
0
Почему сопротивление 0,6 Ом, в условии 2 Ом? ЭДС и ток возрастают от 0 до максимального, надо брать среднее...
Автор ответа:
0
Ой извините я случайно написал 0,6 ом просто я люблю физику и математику и сразу же решаю не читав до конца задания
Похожие вопросы
Предмет: Биология,
автор: rekryt361
Предмет: Математика,
автор: liska888
Предмет: Английский язык,
автор: viktss
Предмет: География,
автор: joeking00