Предмет: Алгебра,
автор: Choicee33
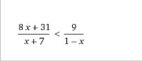
Решить неравенство
Ответ: (-7;1); x неравно -2
Приложения:
Ответы
Автор ответа:
0
(8x+31)/(x+7)+9/(x-1)<0
(8x²+31x-8x-31+9x+63)/(x+7)(x-1)<0
(8x²+32x+32)/(x+7)(x-1)<0
8(x²+4x+4)/(x+7)(x-1)<0
8(x+2)²/(x+7)(x-1)<0
x=-2 x=-7 x=1
+ _ _ +
-------------(-7)-------------(-2)-----------------(1)-------------------
x∈(-7;-2) U (-2;1)
(8x²+31x-8x-31+9x+63)/(x+7)(x-1)<0
(8x²+32x+32)/(x+7)(x-1)<0
8(x²+4x+4)/(x+7)(x-1)<0
8(x+2)²/(x+7)(x-1)<0
x=-2 x=-7 x=1
+ _ _ +
-------------(-7)-------------(-2)-----------------(1)-------------------
x∈(-7;-2) U (-2;1)
Автор ответа:
0
Решаем методом интервалов.
Приложения:
Похожие вопросы
Предмет: Математика,
автор: vnbnmbm
Предмет: История,
автор: alkamovamadina29
Предмет: Алгебра,
автор: yagotow
Предмет: Математика,
автор: oficer1978
Предмет: География,
автор: gkarolina44