Предмет: Математика,
автор: dimasik53
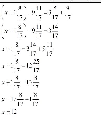
(х+1 8/17)-9 11/17=3 5/17+9/17 люди прашууу очень надо я плачу что решеть не магу
Ответы
Автор ответа:
0
===================================================
Приложения:
Похожие вопросы
Предмет: Математика,
автор: serkibaev82
Предмет: Математика,
автор: digdaromarov
Предмет: Қазақ тiлi,
автор: rozita8686
Предмет: История,
автор: хорёк222
Предмет: Обществознание,
автор: Элвисик