Предмет: Алгебра,
автор: диана361
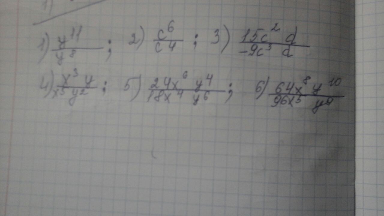
сократите дробь зр спасибо
Приложения:
Ответы
Автор ответа:
0
y^2 , c^2 , 53c, 1x^2y , 4x^23y^2, 2x^3y3
Похожие вопросы
Предмет: Биология,
автор: rebenkovlada2004
Предмет: Русский язык,
автор: Аноним
Предмет: Математика,
автор: 8642l
Предмет: История,
автор: ckotovich
Предмет: География,
автор: sergeilogachev