Предмет: Алгебра,
автор: 12vadim12
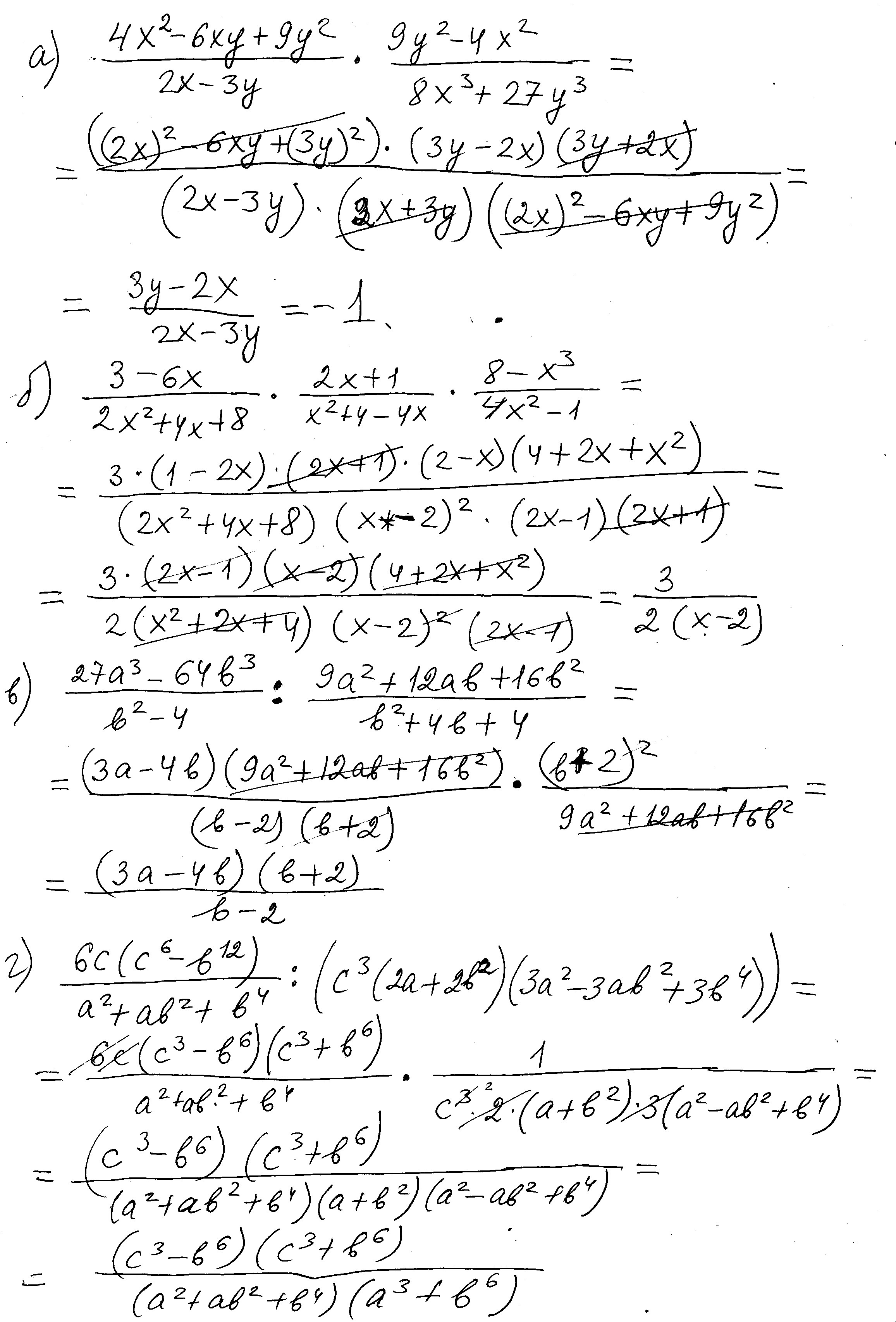
С решением умоляю!!!!!!!!!!!!!!!!!!!!!!!!!!!!!!!!!!
Приложения:
Ответы
Автор ответа:
0
решение во вложенном файле (в последнем примере возможно в условии ошибка, не очень упрощается)
Приложения:
Похожие вопросы
Предмет: Обществознание,
автор: 228608703911gg
Предмет: Английский язык,
автор: vaskov3006
Предмет: Математика,
автор: ArslaN4ikMK
Предмет: Литература,
автор: 95akaev95
Предмет: Математика,
автор: ЕК12345