Предмет: Физика, автор: copmup

Помогите пожалуйста с задачами
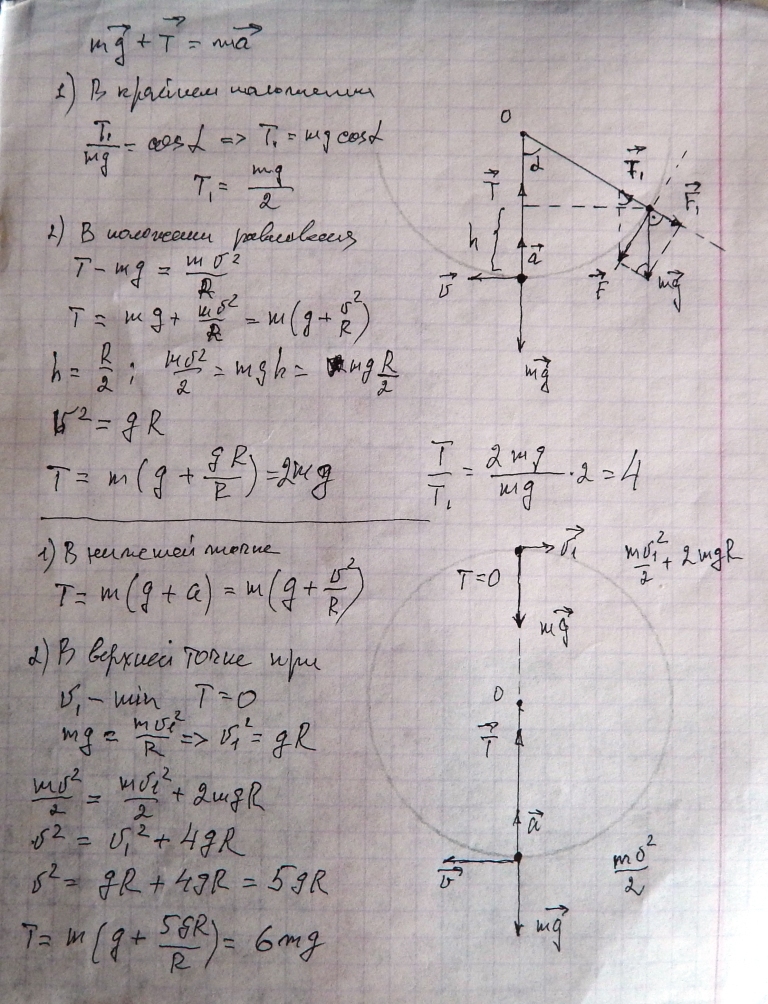
1)Определите отношение максимальной силы натяжения математического маятника к минимальной, при условии, что наибольший угол отклонения маятника от вертикали при его колебаниях равен 60 градусов. (Ответ: 4)
2)Математическому маятнику массой m, находящемуся в положении равновесия, сообщили такой минимальный толчок, что он совершил полный оборот в вертикальной плоскости. Какова будет сила натяжения нити T при прохождении положения равновесия? Силами сопротивления пренебречь. (Ответ: 6mg)

Ответы

Автор ответа: cvvkl
0
Решение смотри в файле
Приложения:
Автор ответа: copmup
0
Спасибо!
Похожие вопросы
Предмет: Русский язык, автор: erkebulanzetpisbaj07
1.Вставьте пропущенные буквы. Над существительными укажите их склонение и падеж, выделите окончания.

Пить чай в беседк.., на окраин.. деревн.., сидеть на скамейк.., играть на полян.., в окрестност.. озера, о Росси.., вышивка на скатерт.., от дорог.. к дорог.., о дом.., с товарищ..м, по равнин.., в увлечени.., о речк.., на постельк.., изображение на фотографи.., около постел.., бродить по алле.., быть в середин.. пут.., находиться в основани.., спать в рубашк.., гулять в рощ.., кусты акаци.. .

2.Вставьте пропущенные буквы. Над прилагательными укажите падеж, выделите окончания.

До последн.. капли, с маленьк.. ершом, высок.. роста, ранн.. утром, в тёмн.. дубраву, развесист.. берёзу, в надёжн.. место, с опытн.. врачом, за известн.. скрипачом, около душист.. цветка, о далёк.. странах, за высок.. камышом, в зимн.. саду, над жёлт.. полями, в мягк.. воздухе, в осинов.. рощу, замечательн.. настроение, под пушист.. ёлкой, литературн.. кружка, в чёрно-син.. небе, на высок.. скале.
Срочно даю 40 баллов!!!​
Предмет: Русский язык, автор: Hshuehdh
Предмет: Математика, автор: kuzneczovak
Предмет: Литература, автор: tatnata2013