Предмет: Математика,
автор: DenisGur
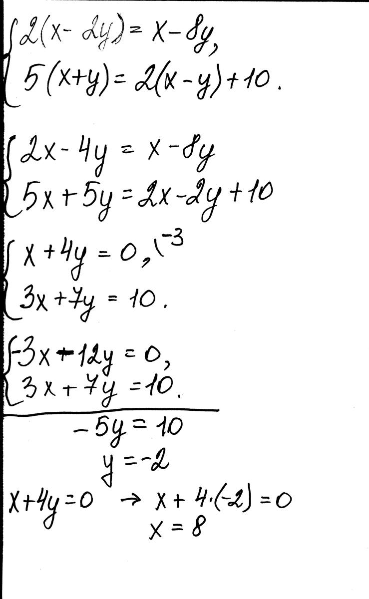
2(х-2у)=х-8у,5(х+у)=2(х-у)+10;
Ответы
Автор ответа:
0
Если это система, то решение во вложении.
Приложения:
Похожие вопросы
Предмет: История,
автор: botvinina09
Предмет: Алгебра,
автор: koshimbayevnurzhan6
Предмет: Қазақ тiлi,
автор: Аноним
Предмет: Биология,
автор: Abbyasova
Предмет: Литература,
автор: Moxovinka