Предмет: Алгебра,
автор: makslubo
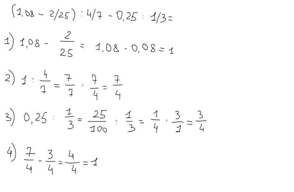
Помогите решить пример (1,08-2/25):4/7-0,25:1/3
Ответы
Автор ответа:
0
))))))))))))))))))))))))))))))))
Приложения:
Похожие вопросы
Предмет: Биология,
автор: annavasylenko1312
Предмет: Обществознание,
автор: Аноним
Предмет: Українська мова,
автор: jjokerskiy
Предмет: Биология,
автор: verenikina2003
Предмет: Информатика,
автор: Машаqwaszx