Предмет: Информатика,
автор: vanchen126
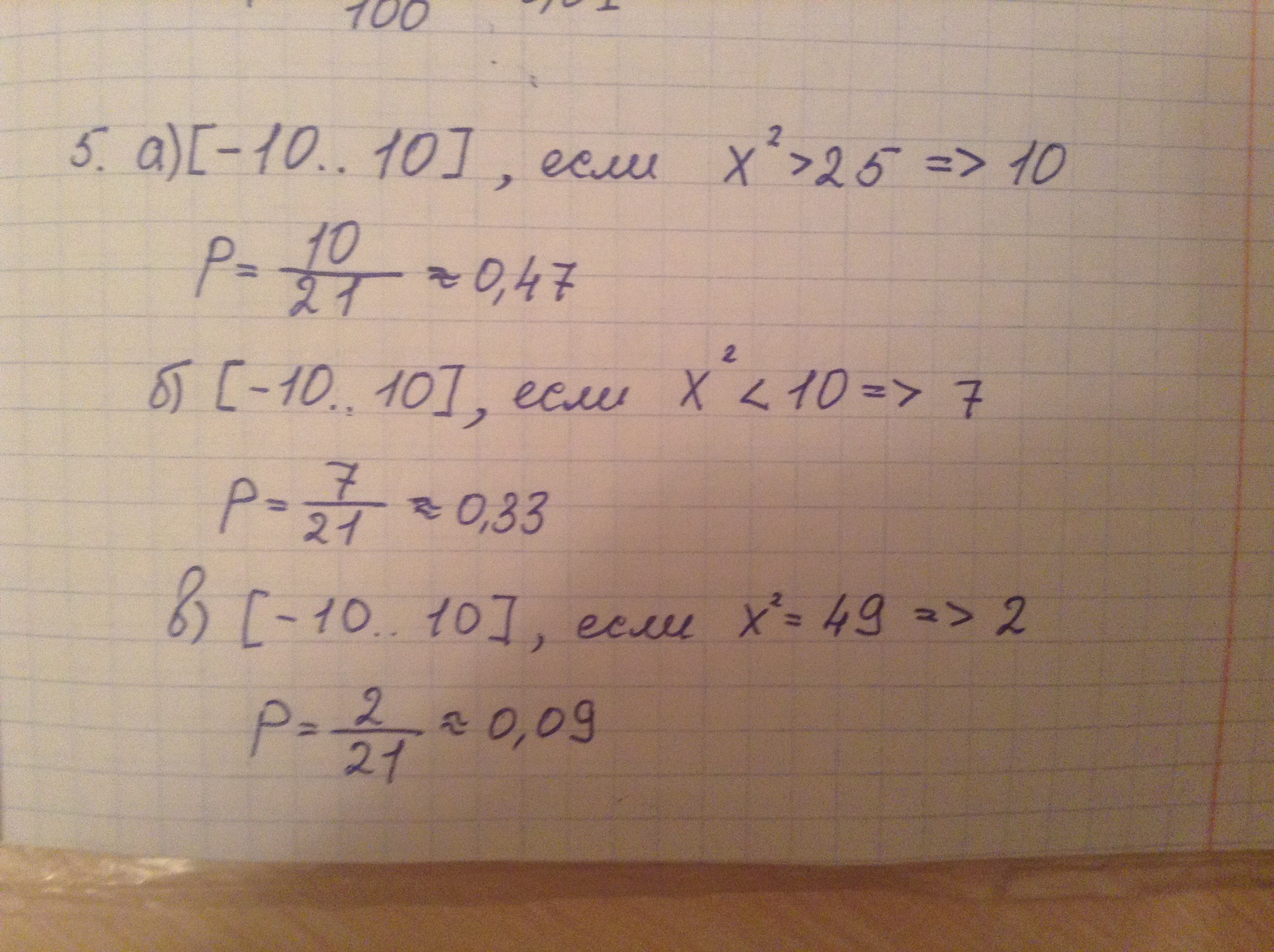
ученик задумал целое число от -10 до 10. Какова вероятность того, что квадрат этого числа больше 25? Меньше 10? Равен 49?
Нужны решения!
не только ответы
Ответы
Автор ответа:
0
Всего чисел 21, т.к. Я считаю, что 0 тоже входит в этот диапазон.
Приложения:
Автор ответа:
0
Спасибо♥
Похожие вопросы
Предмет: Математика,
автор: mikitukdarina965
Предмет: Українська мова,
автор: osterreichungarn01
Предмет: Химия,
автор: nikita6925
Предмет: Физика,
автор: polinanureeva
Предмет: Математика,
автор: svetakov