Предмет: Алгебра, автор: katerinaposoxovA

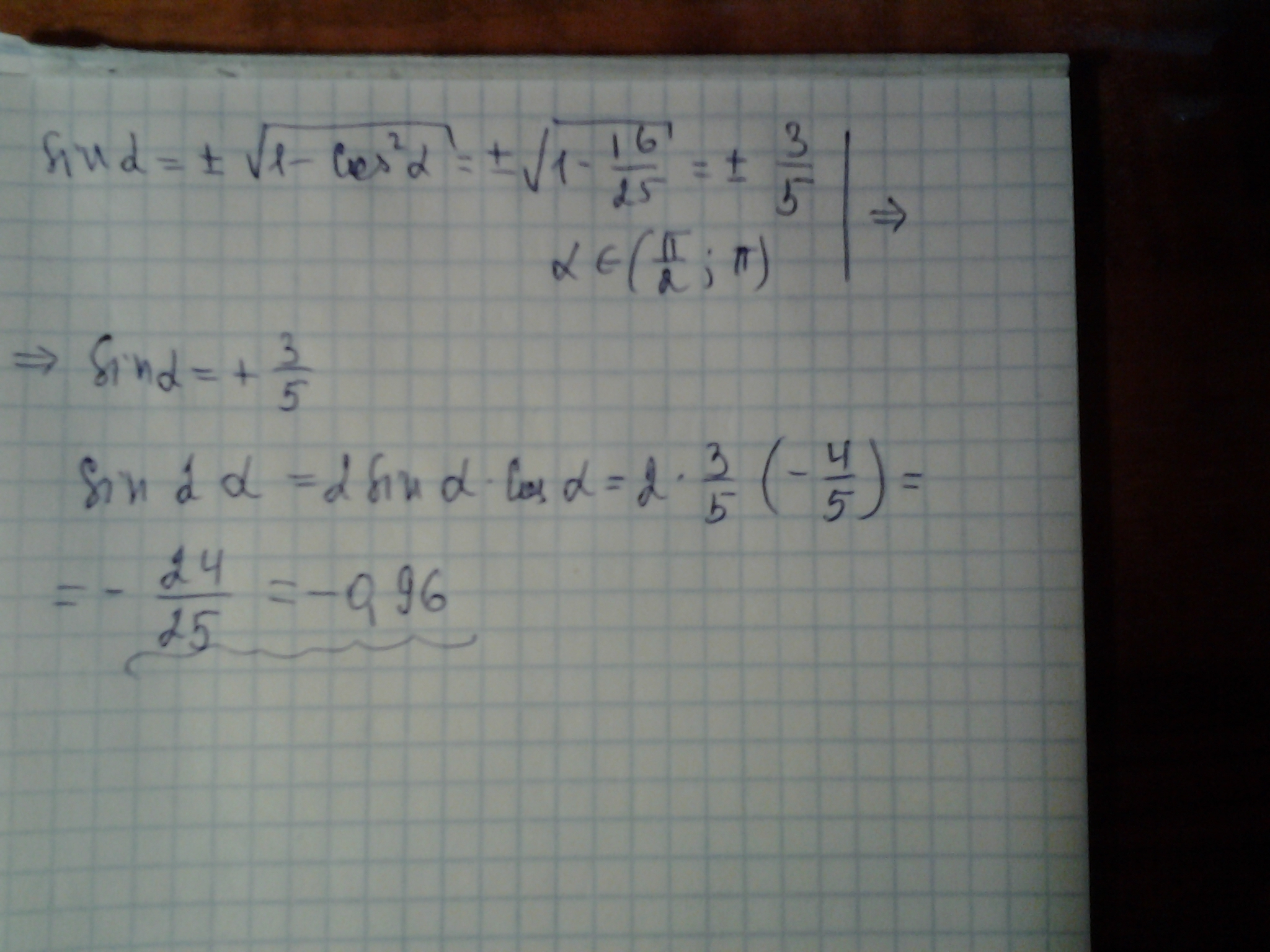
Вычислить sin2a, если cosa = -4/5 и п/2 < а < п

Ответы

Автор ответа: okneret
0
Применены : формула зависимости синуса от косинуса, формула двойного угла синуса
Приложения:
Похожие вопросы
Предмет: Другие предметы, автор: 10032009
Тест№ 1

1. Какие приборы располагаются справой стороны?

А. ножи, ложки

Б. ножи, вилки

В. Ложки, вилки

2. Помимо столовых приборов, чем обязательно оформляется и декорируется стол к празднику?

А. букет цветов

Б. салфетки

В. Бутылки и графины

Г. Керамические фигуры

3. Какую посуду сначала нужно поставить, прежде чем украшать стол?

А. тарелки

Б. стаканы

В. Блюдо для хлеба

Г. салатницы

4. На какой стороне должен быть расположены бокалы?

А. слева

Б. справа

В. Посередине

Г. На тарелке

Задание №1

Выписать ошибки поведения за столом в тетрадь.

Ситуации, которые могут возникнуть во время приёма пищи

Ситуация 1. Кайрат сел за стол, повернулся боком, положив ногу на ногу, взял книгу и стал читать, при этом взял вилку в руки и начал есть.

Ситуация 2. Позвали вас на завтрак, и вы пошли в столовую. На столе уже стоят тарелки с манной кашей. Все берутся за ложки. – Фу! – вдруг, громко говорит Саша. – Какая противная каша. Сами ешьте эту гадость, а я не буду!

Ситуация 3. Юра, сел за стол и начал искать в хлебнице самый лучший кусок. Взяв его, откусил большой кусок хлеба. Начал разговаривать.



Ответ:_____________________
Предмет: География, автор: сеёна