Предмет: Математика,
автор: krupen81
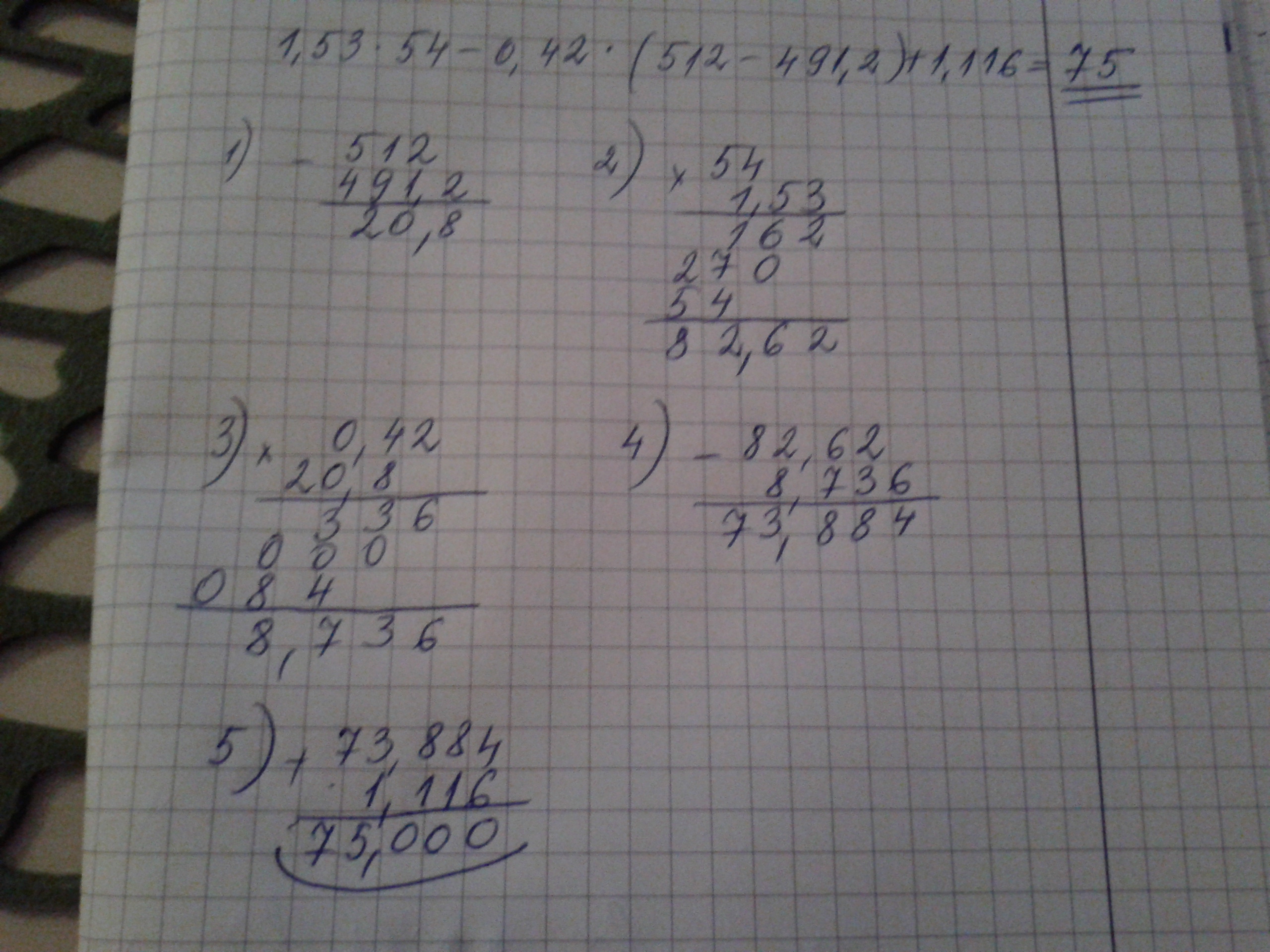
1,53 * 54 - 0,42 * (512 - 491,2) + 1,116=
в столбик.
Ответы
Автор ответа:
0
Решение в приложении.
Приложения:
Похожие вопросы
Предмет: Литература,
автор: AueTatarin228
Предмет: Алгебра,
автор: tatanakanibolockaa56
Предмет: Алгебра,
автор: DiDPetro14
Предмет: Математика,
автор: eoa981