Предмет: Математика,
автор: Юльчик20011
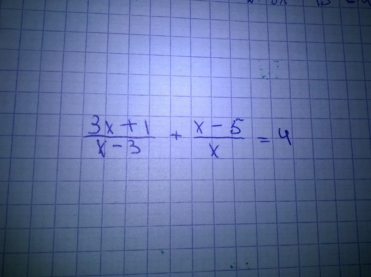
Помогите решить срочно
Приложения:
Ответы
Автор ответа:
0
Примернотакнеимногокриво
Приложения:
Похожие вопросы
Предмет: Геометрия,
автор: cihpyh289
Предмет: Геометрия,
автор: parypalilia
Предмет: Математика,
автор: apuhtinaluda201
Предмет: Алгебра,
автор: aelitakhas