Предмет: Алгебра,
автор: davidovatorri
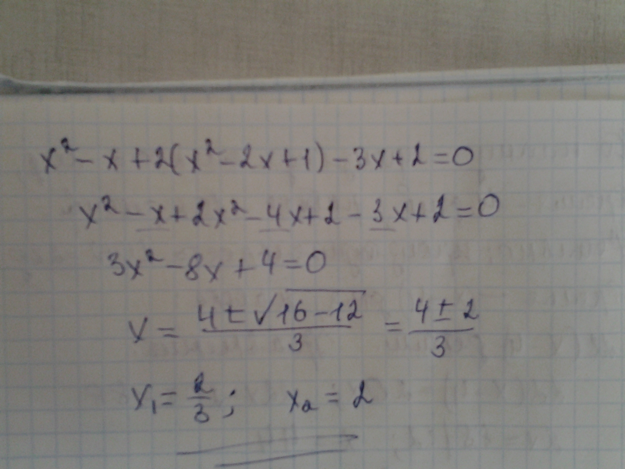
Решите уравнение x²-x+2(x-1)²=3x-2
Ответы
Автор ответа:
0
Применены : формула квадрата разности, решение квадратного уравнения со вторым чётным коэффициентом
Приложения:
Похожие вопросы
Предмет: История,
автор: aleksandralotis
Предмет: Русский язык,
автор: Аноним
Предмет: Математика,
автор: hvalovtim
Предмет: Литература,
автор: irina14128487
Предмет: Математика,
автор: tokarmargarita