Предмет: Математика,
автор: at01
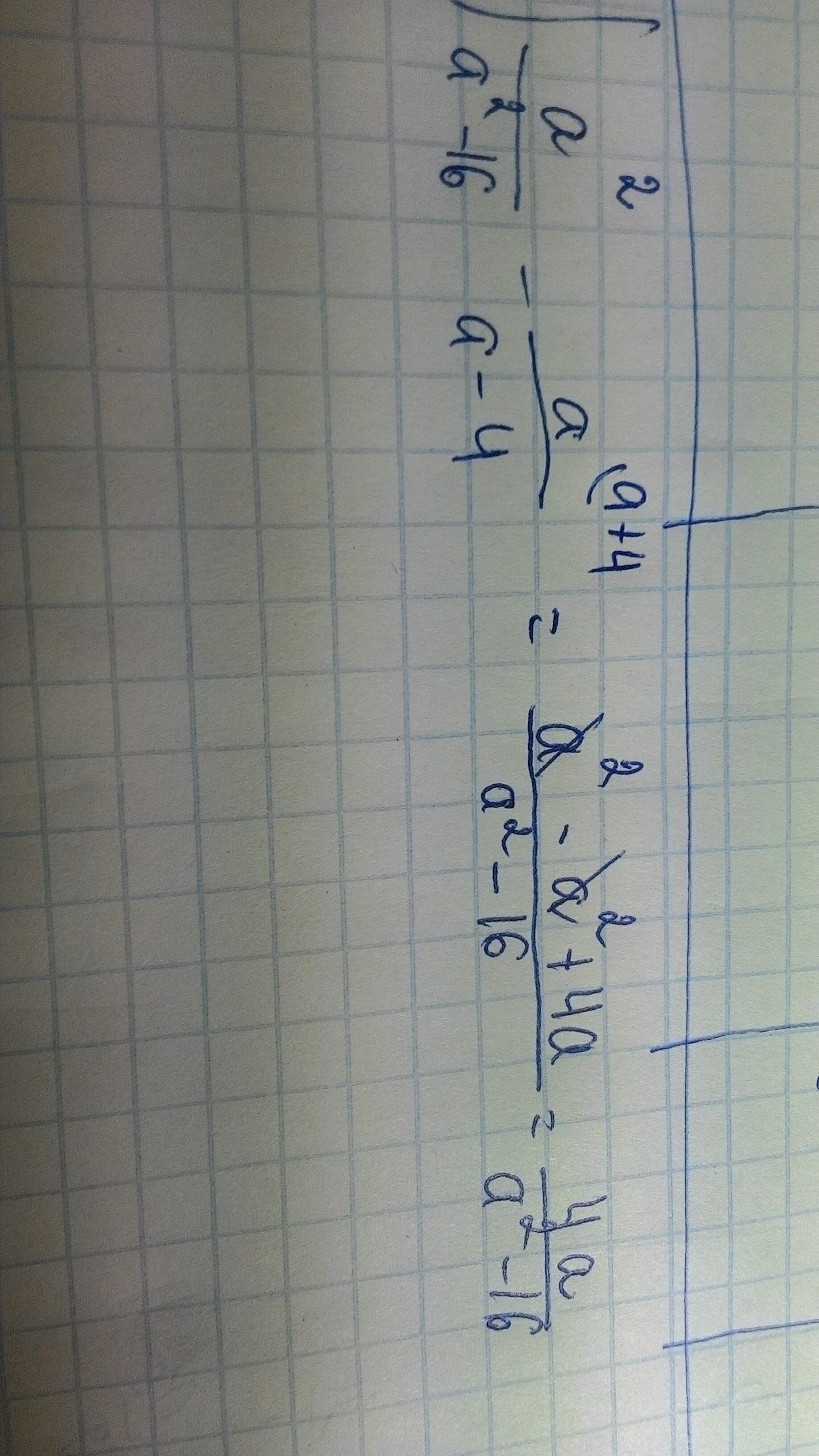
Представьте в виде дроби:
a²/a²-16 - a/a-4
Ответы
Автор ответа:
0
надеюсь, что помогла
Приложения:
Похожие вопросы
Предмет: Литература,
автор: mizver007
Предмет: Алгебра,
автор: sofiastovba
Предмет: Математика,
автор: supremecalamitas01
Предмет: Биология,
автор: cemeh579
Предмет: Геометрия,
автор: juliyayatova