Предмет: Химия,
автор: nasty444555
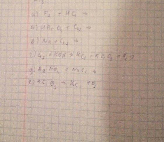
помогите срочно,химия 9 кл,дописать реакции.
Приложения:
Ответы
Автор ответа:
0
честно я в химии не бельме
ну думаю так :
а) F2+2HCL= 2FCL+H2
в) 2NA +CL2= 2NACL (поваренная соль)
ну думаю так :
а) F2+2HCL= 2FCL+H2
в) 2NA +CL2= 2NACL (поваренная соль)
Похожие вопросы
Предмет: Литература,
автор: j12311
Предмет: Математика,
автор: slmsungqwe1267
Предмет: Математика,
автор: sauledzumatova
Предмет: Литература,
автор: kruttetskiy
Предмет: Математика,
автор: alinapavlova