Предмет: Математика,
автор: shsk0193
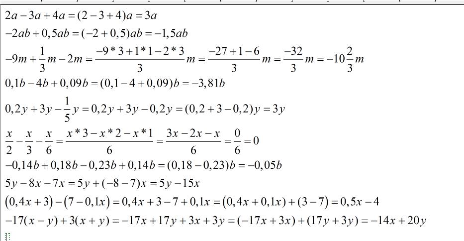
Помогите пжл срочно!!! Оч надо!хоть немного!!
Приложения:
Ответы
Автор ответа:
0
===========================================================
Приложения:
Похожие вопросы
Предмет: Қазақ тiлi,
автор: balykkuma
Предмет: Математика,
автор: Аноним
Предмет: Литература,
автор: sseralyaa
Предмет: Математика,
автор: govn
Предмет: Химия,
автор: kiskaira