Предмет: Алгебра,
автор: ИнгаВладыцкая
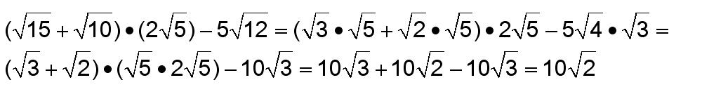
(Корень из 15+ корень из 10)* на 2 корня из 5-5 корней из 12. Как упростить выражение.
Ответы
Автор ответа:
0
Чтобы не заморачиваться с написанием формул словами, прикладываю вложение с решением.
Приложения:
Автор ответа:
0
(V15+V10) *2V5 - 5V12 = (V5 * V3+V5 * V2) * 2V5 - 5V4*V3 = (V3+V2) * 2V5*V5 - 10V3 = (V3+V2)*10-10V3 = 10V3+10V2-10V3 = 10V2
V-корень
Приложения:
Похожие вопросы
Предмет: Математика,
автор: ssss3855
Предмет: Українська література,
автор: dianaosipcuk858
Предмет: Информатика,
автор: kate123469
Предмет: Математика,
автор: Лена78