Предмет: Алгебра,
автор: Умник075356
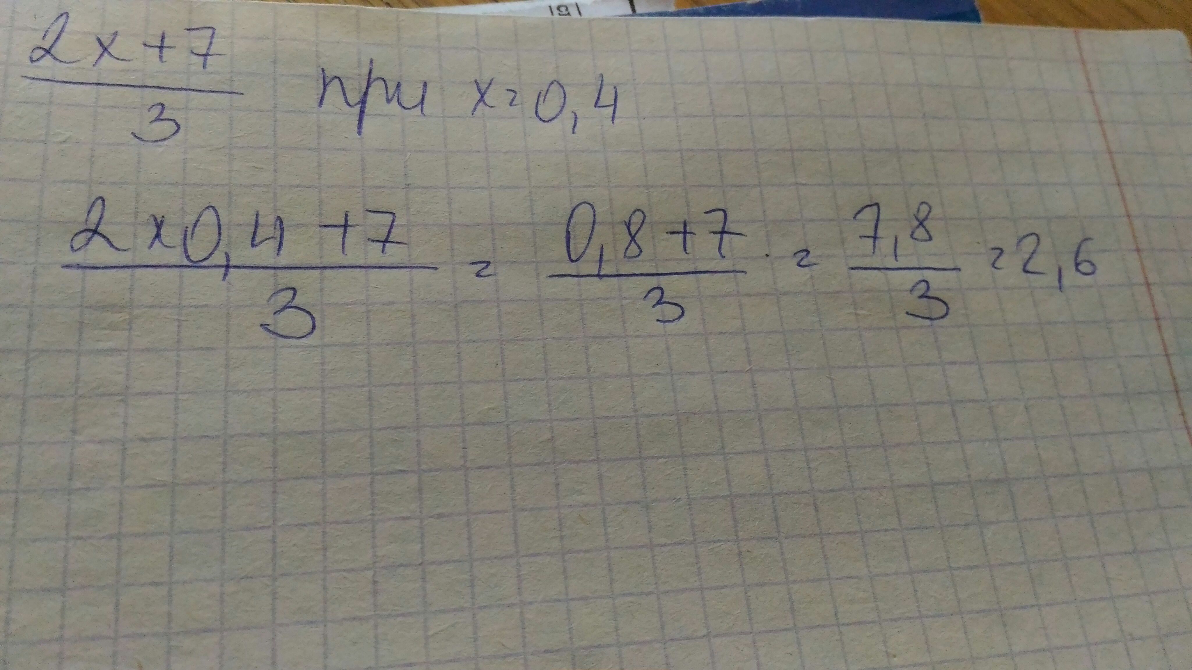
Решите ..............
Приложения:
Ответы
Автор ответа:
0
2×0.4=0.8
0.8+7=7.8
7.8:3=2.6
вроде так
0.8+7=7.8
7.8:3=2.6
вроде так
Автор ответа:
0
Вот ответ , держи , вроде верно все
Приложения:
Похожие вопросы
Предмет: Английский язык,
автор: Аноним
Предмет: Английский язык,
автор: uhushnur
Предмет: Литература,
автор: mia994
Предмет: Алгебра,
автор: ольчик1999
Предмет: Математика,
автор: svitlanavlad57