Предмет: Математика,
автор: Ильяндерспросандер
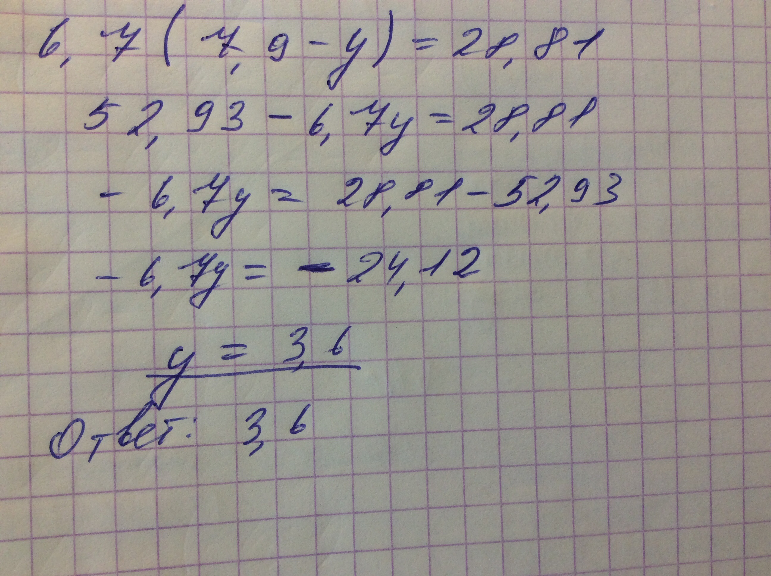
6,7x(7,9-y)=28,81
решите срочно!!!
( x это умножение )
Ответы
Автор ответа:
0
Удачи! *******************
Приложения:
Автор ответа:
0
ех не успела
Автор ответа:
0
))
Автор ответа:
0
зря решала что-ли удачи
Приложения:
Похожие вопросы
Предмет: География,
автор: 2011NalaPantera
Предмет: Физика,
автор: mariandanna37
Предмет: История,
автор: Аноним
Предмет: Алгебра,
автор: yfnfif4
Предмет: Математика,
автор: balyakinaea