Предмет: Математика,
автор: masel1
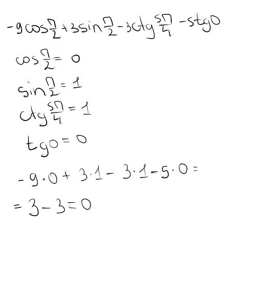
-9cos П/2+3sin П/2-3ctg 5П/4-5tg0
Ответы
Автор ответа:
0
(надо двадцать символов)
Приложения:
Похожие вопросы
Предмет: География,
автор: 56fd
Предмет: Биология,
автор: tikhosasha
Предмет: История,
автор: madlenblogina
Предмет: Биология,
автор: OlesyaRogg
Предмет: Математика,
автор: РОЗУМНИЧКА1985