Предмет: Математика,
автор: camilastar
помагите решить уравнения 36 номер -3),4) и номер 37-4),5),6)
Приложения:
Ответы
Автор ответа:
0
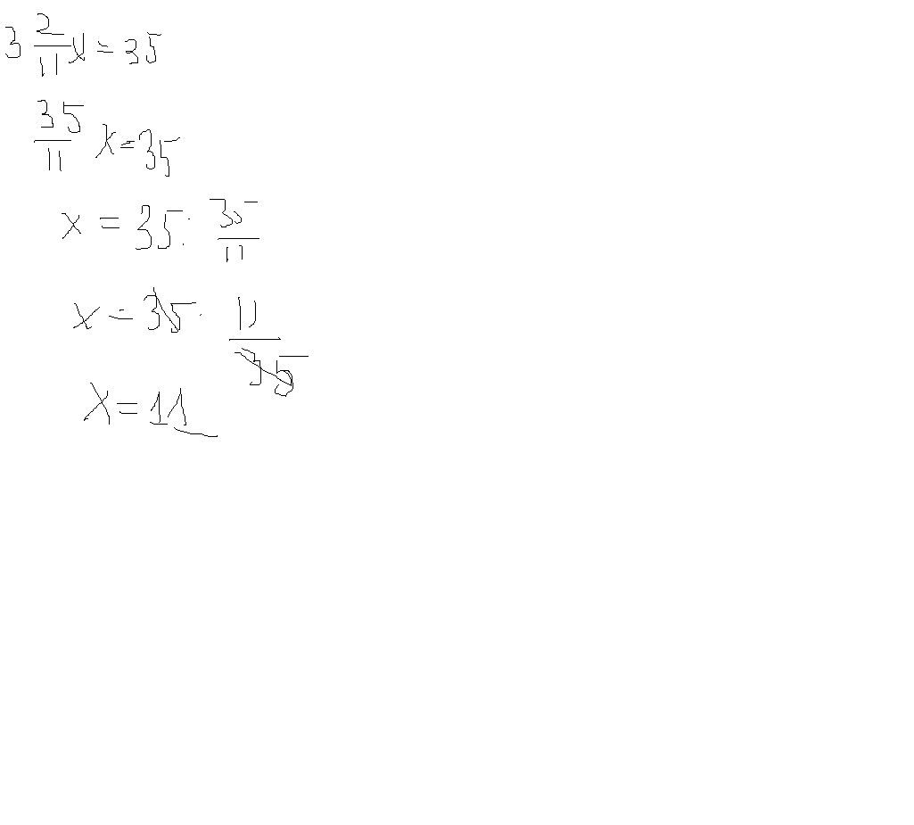
4)
5)4 1/9х=72
37/9х=72
х=72/37/9
72 и 9 сокращаются
х=8*37
х=296
5)4 1/9х=72
37/9х=72
х=72/37/9
72 и 9 сокращаются
х=8*37
х=296
Приложения:
Похожие вопросы
Предмет: Русский язык,
автор: darinakireenko155
Предмет: Английский язык,
автор: miryt38
Предмет: Математика,
автор: ivankaqnemesh2001
Предмет: Математика,
автор: sholohova97
Предмет: География,
автор: misterneznaika